Приказ Управления по государственной охране объектов культурного наследия Тамбовской области от 02.10.2018 № 239
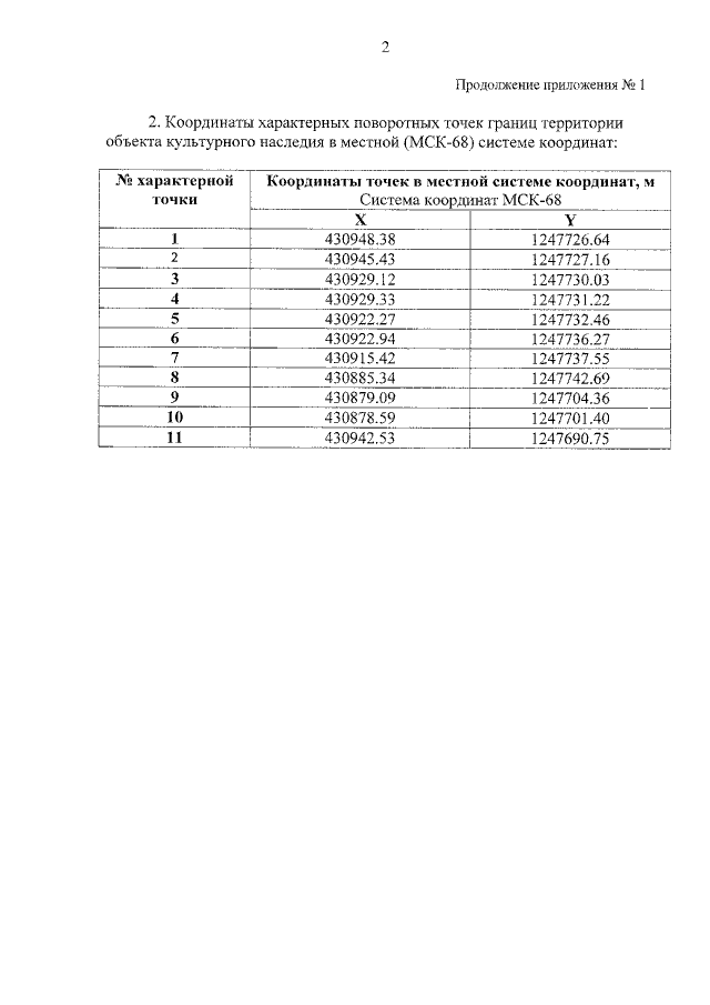
"Об утверждении границ и режима использования территории объекта культурного наследия регионального значения "Гостиница "Славянская" (Тамбовская область, г. Тамбов, ул. Коммунальная/ ул. Носовская, 20/5)"
"Об утверждении границ и режима использования территории объекта культурного наследия регионального значения "Гостиница "Славянская" (Тамбовская область, г. Тамбов, ул. Коммунальная/ ул. Носовская, 20/5)"
Номер опубликования: 6801201810040006
Дата опубликования:
04.10.2018
