Официальное опубликование правовых актов
ОФИЦИАЛЬНОЕ ОПУБЛИКОВАНИЕ
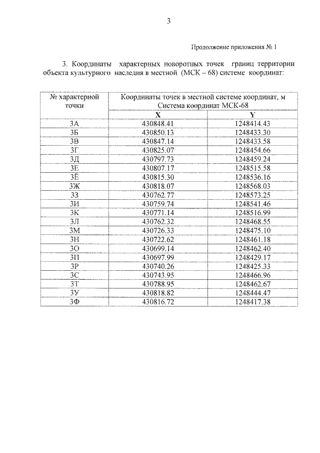
Приказ Управления по государственной охране объектов культурного наследия Тамбовской области от 02.04.2018 № 61
"Об утверждении границ и режима использования территории объекта культурного наследия регионального значения "Комплекс зданий: бывший дом Архиерея, здание бывшей духовной консистории, бывший жилой дом" (Тамбовская область, г. Тамбов, ул. М. Горького, 3; ул. Сергея Рахманинова, д. 2-б, 2)"
Номер опубликования: 6801201804030003
Дата опубликования: 03.04.2018
Страница №4 из 5:
Увеличить