Официальное опубликование правовых актов
ОФИЦИАЛЬНОЕ ОПУБЛИКОВАНИЕ
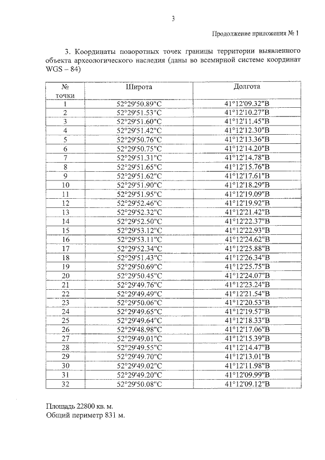
Приказ Управления по государственной охране объектов культурного наследия Тамбовской области от 11.12.2017 № 319
"Об утверждении границ и режима использования территории выявленного объекта археологического наследия "Андреевская курганная группа" (Тамбовская область, Тамбовский район, д. Андреевка)"
Номер опубликования: 6801201712120006
Дата опубликования: 12.12.2017
Страница №4 из 5:
Увеличить