Официальное опубликование правовых актов
ОФИЦИАЛЬНОЕ ОПУБЛИКОВАНИЕ
Приказ Управления градостроительства и архитектуры Тамбовской области от 22.08.2017 № 117-О
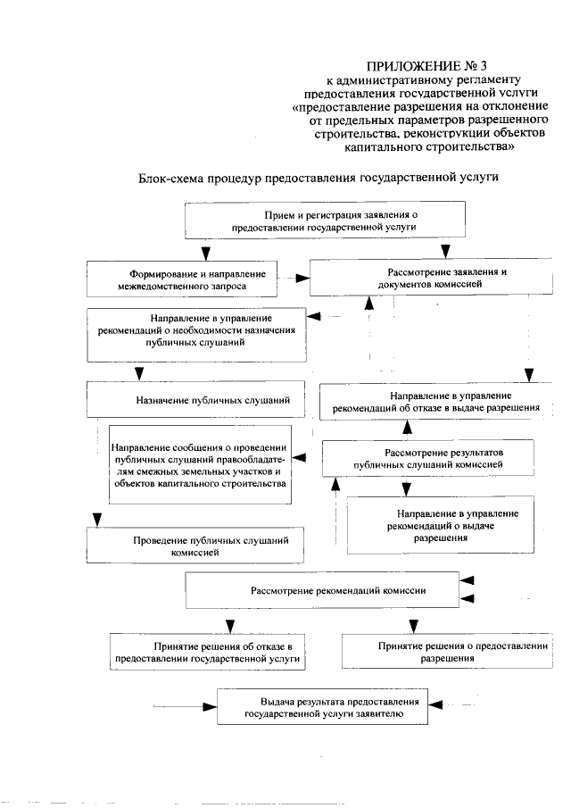
"Об утверждении административного регламента предоставления государственной услуги "предоставление разрешения на отклонение от предельных параметров разрешенного строительства, реконструкции объектов капитального строительства"
Номер опубликования: 6801201708220004
Дата опубликования: 22.08.2017
Страница №29 из 29:
Увеличить