Официальное опубликование правовых актов
ОФИЦИАЛЬНОЕ ОПУБЛИКОВАНИЕ
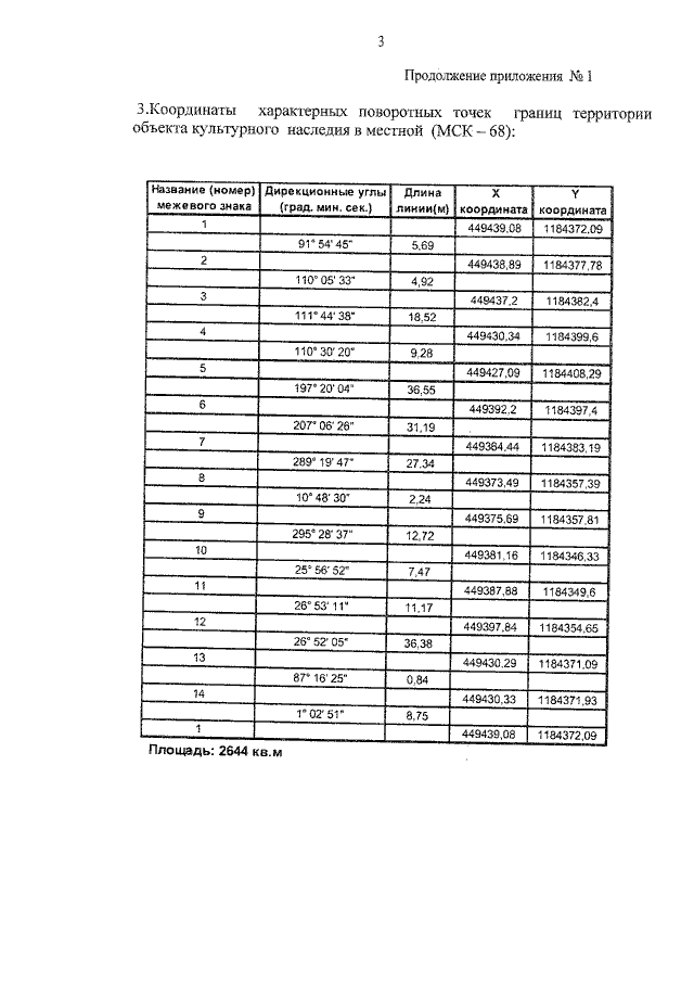
Приказ Управления по государственной охране объектов культурного наследия Тамбовской области от 01.08.2017 № 191
"Об утверждении границ и режима использования территории объекта культурного наследия регионального значения "Дом, в котором жил народный художник СССР А.М. Герасимов" (Тамбовская область, г. Мичуринск, ул. Герасимова, 88)"
Номер опубликования: 6801201708010001
Дата опубликования: 01.08.2017
Страница №4 из 6:
Увеличить