Официальное опубликование правовых актов
ОФИЦИАЛЬНОЕ ОПУБЛИКОВАНИЕ
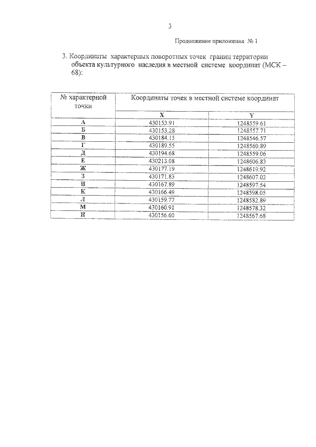
Приказ Управления по государственной охране объектов культурного наследия Тамбовской области от 25.05.2017 № 115
"Об утверждении границ и режима использования территории объекта культурного наследия регионального значения "Дом жилой" (Тамбовская область, г. Тамбов, ул. Советская, 65)"
Номер опубликования: 6801201705300034
Дата опубликования: 30.05.2017
Страница №4 из 6:
Увеличить