Приказ Управления по государственной охране объектов культурного наследия Тамбовской области от 25.05.2017 № 119
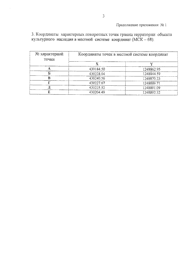
"Об утверждении границ и режима использования территории объекта культурного наследия федерального значения "Преображенский собор" (Тамбовская область, г. Тамбов, пл. Соборная, 4)"
"Об утверждении границ и режима использования территории объекта культурного наследия федерального значения "Преображенский собор" (Тамбовская область, г. Тамбов, пл. Соборная, 4)"
Номер опубликования: 6801201705300032
Дата опубликования:
30.05.2017
