Приказ Управления образования и науки Тамбовской области от 21.03.2017 № 770
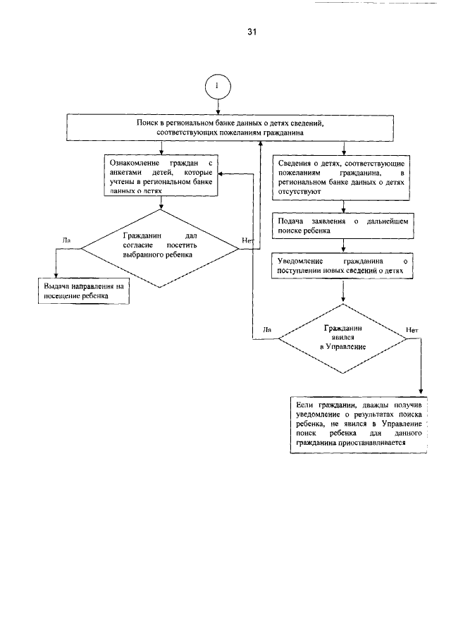
"Об утверждении административного регламента предоставления государственной услуги "предоставление гражданам информации о детях, оставшихся без попечения родителей, из регионального банка данных о детях, оставшихся без попечения родителей, для передачи их на воспитание в семьи граждан"
"Об утверждении административного регламента предоставления государственной услуги "предоставление гражданам информации о детях, оставшихся без попечения родителей, из регионального банка данных о детях, оставшихся без попечения родителей, для передачи их на воспитание в семьи граждан"
Номер опубликования: 6801201703230001
Дата опубликования:
23.03.2017
