Официальное опубликование правовых актов
ОФИЦИАЛЬНОЕ ОПУБЛИКОВАНИЕ
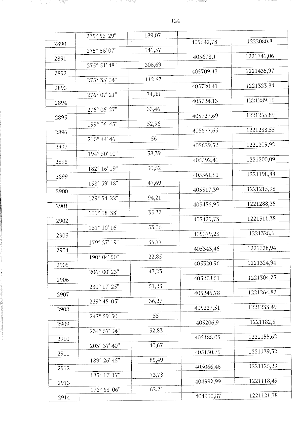
Закон Тамбовской области от 11.03.2026 № 793-З
"О внесении изменения в Закон Тамбовской области "Об установлении границ Тамбовского муниципального округа Тамбовской области и определении места нахождения его представительного органа и о признании утратившими силу отдельных положений некоторых законодательных актов Тамбовской области"
Номер опубликования: 6800202603120013
Дата опубликования: 12.03.2026
Страница №124 из 182:
Увеличить