Официальное опубликование правовых актов
ОФИЦИАЛЬНОЕ ОПУБЛИКОВАНИЕ
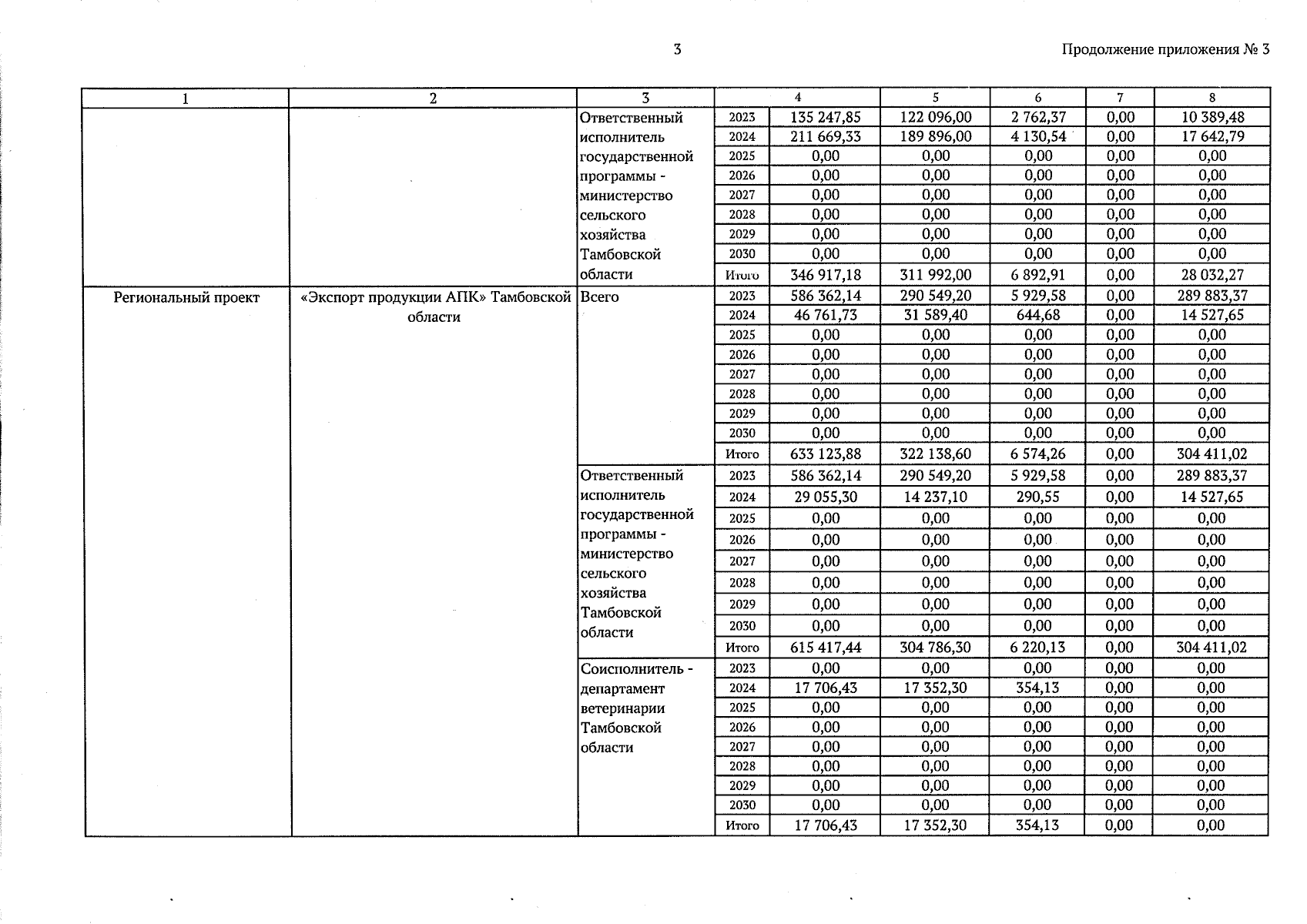
Постановление Правительства Тамбовской области от 08.12.2025 № 669
"О внесении изменений в Государственную программу развития сельского хозяйства и регулирования рынков сельскохозяйственной продукции, сырья и продовольствия Тамбовской области"
Номер опубликования: 6800202512100001
Дата опубликования: 10.12.2025
Страница №28 из 33:
Увеличить