Постановление Правительства Тамбовской области от 03.12.2025 № 654
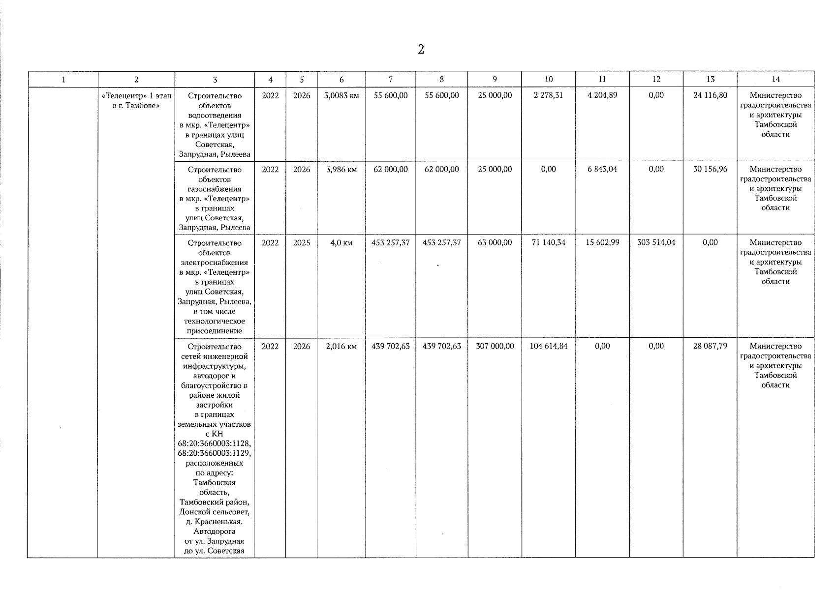
"О внесении изменений в постановление администрации Тамбовской области от 08.12.2021 № 898 "Об утверждении детализированного перечня мероприятий, реализуемых в рамках инфраструктурных проектов Тамбовской области, отобранных в соответствии с Правилами отбора инфраструктурных проектов, источником финансового обеспечения расходов на реализацию которых являются бюджетные кредиты из федерального бюджета бюджетам субъектов Российской Федерации на финансовое обеспечение реализации инфраструктурных проектов, утвержденными постановлением Правительства Российской Федерации от 14.07.2021 № 1189"
"О внесении изменений в постановление администрации Тамбовской области от 08.12.2021 № 898 "Об утверждении детализированного перечня мероприятий, реализуемых в рамках инфраструктурных проектов Тамбовской области, отобранных в соответствии с Правилами отбора инфраструктурных проектов, источником финансового обеспечения расходов на реализацию которых являются бюджетные кредиты из федерального бюджета бюджетам субъектов Российской Федерации на финансовое обеспечение реализации инфраструктурных проектов, утвержденными постановлением Правительства Российской Федерации от 14.07.2021 № 1189"
Номер опубликования: 6800202512050002
Дата опубликования:
05.12.2025
