Официальное опубликование правовых актов
ОФИЦИАЛЬНОЕ ОПУБЛИКОВАНИЕ
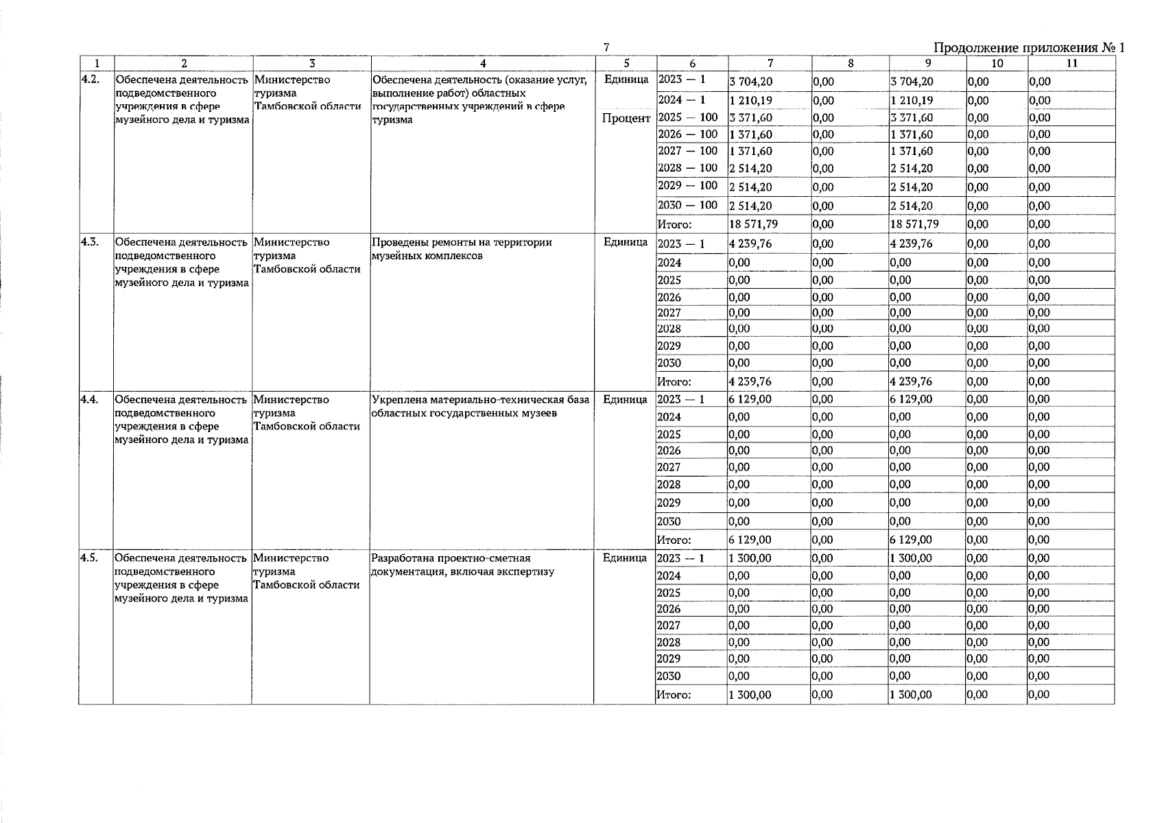
Постановление Правительства Тамбовской области от 21.11.2025 № 622
"О внесении изменений в Государственную программу Тамбовской области "Развитие туризма"
Номер опубликования: 6800202511250001
Дата опубликования: 25.11.2025
Страница №8 из 12:
Увеличить