Официальное опубликование правовых актов
ОФИЦИАЛЬНОЕ ОПУБЛИКОВАНИЕ
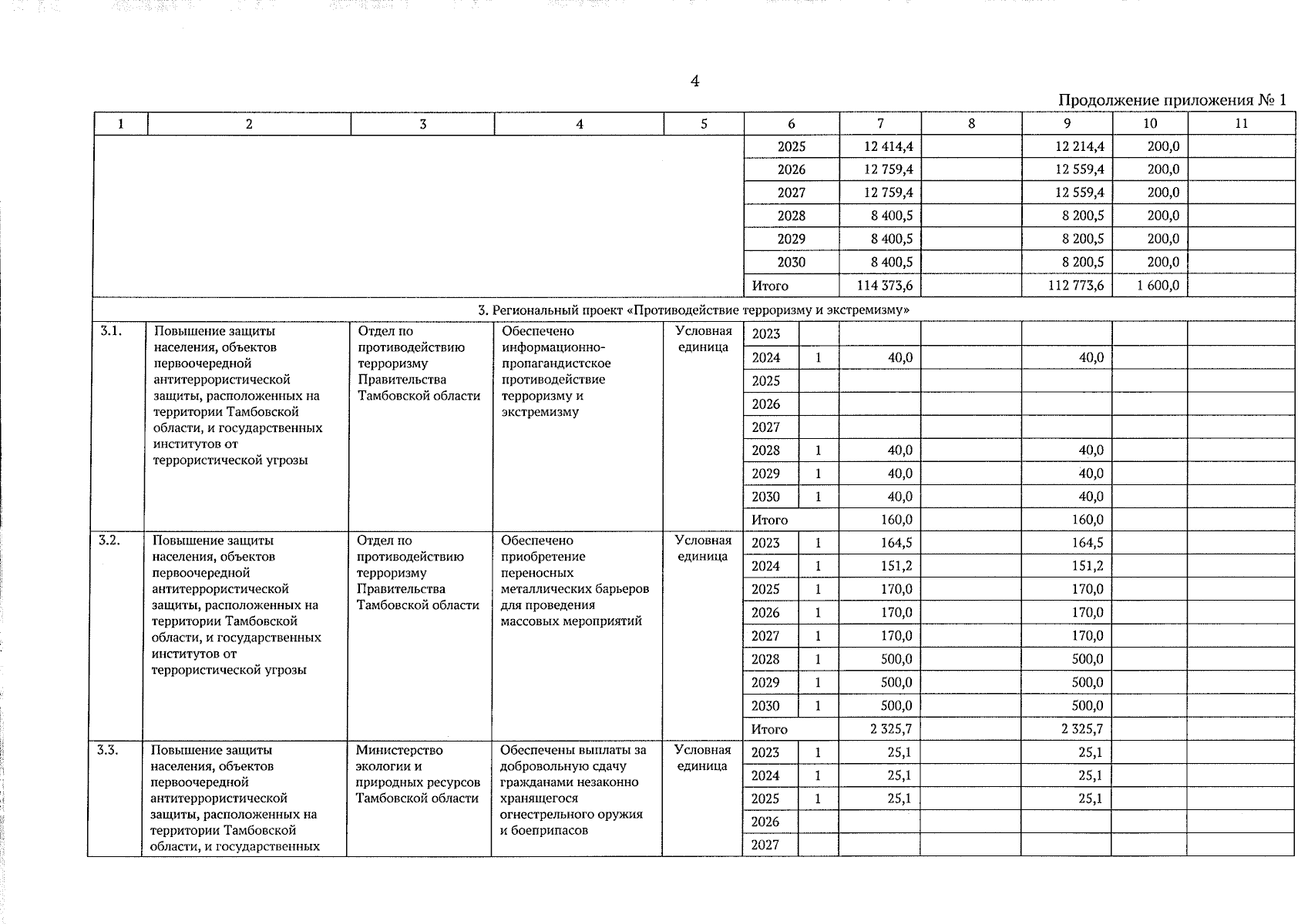
Постановление Правительства Тамбовской области от 05.09.2025 № 510
"О внесении изменений в государственную программу Тамбовской области "Обеспечение безопасности населения Тамбовской области и противодействие преступности"
Номер опубликования: 6800202509080003
Дата опубликования: 08.09.2025
Страница №5 из 18:
Увеличить