Официальное опубликование правовых актов
ОФИЦИАЛЬНОЕ ОПУБЛИКОВАНИЕ
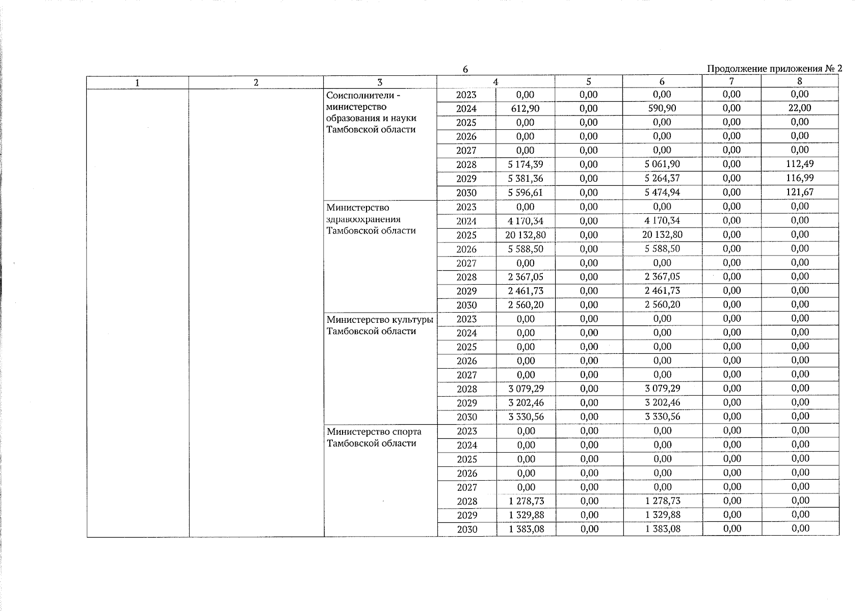
Постановление Правительства Тамбовской области от 07.08.2025 № 472
"О внесении изменений в государственную программу Тамбовской области "Доступная среда"
Номер опубликования: 6800202508120004
Дата опубликования: 12.08.2025
Страница №24 из 32:
Увеличить