Официальное опубликование правовых актов
ОФИЦИАЛЬНОЕ ОПУБЛИКОВАНИЕ
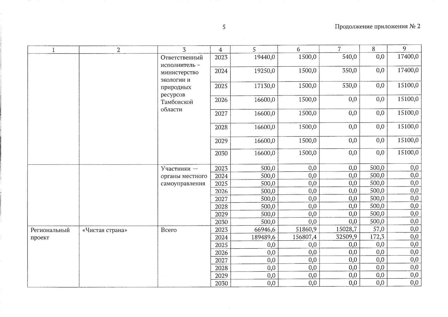
Постановление Правительства Тамбовской области от 27.06.2025 № 397
"О внесении изменений в государственную программу "Охрана окружающей среды, воспроизводство и использование природных ресурсов Тамбовской области"
Номер опубликования: 6800202507030001
Дата опубликования: 03.07.2025
Страница №54 из 64:
Увеличить