Официальное опубликование правовых актов
ОФИЦИАЛЬНОЕ ОПУБЛИКОВАНИЕ
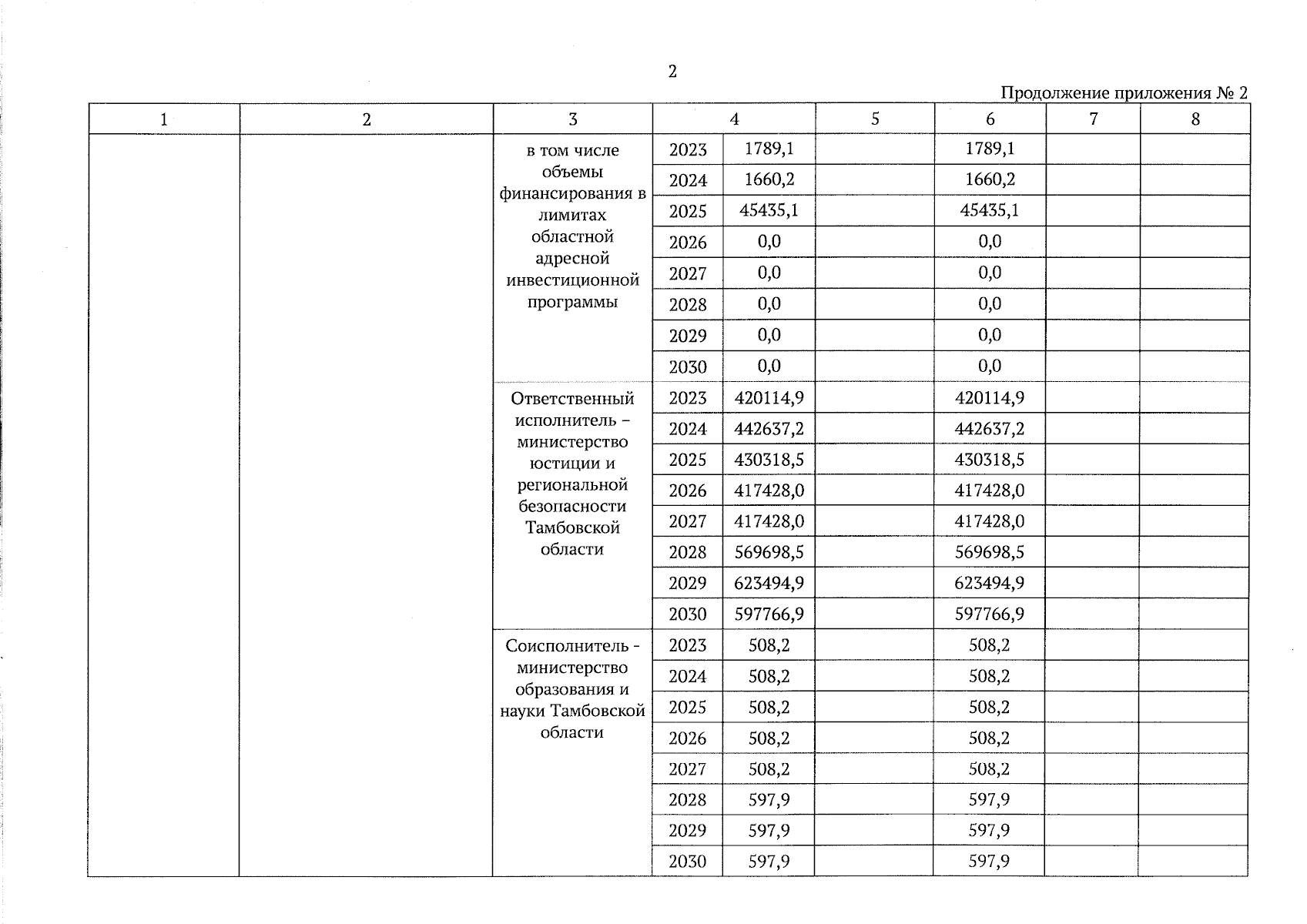
Постановление Правительства Тамбовской области от 17.06.2025 № 384
"О внесении изменений в государственную программу Тамбовской области "Защита населения и территорий от чрезвычайных ситуаций, обеспечение пожарной безопасности и безопасности людей на водных объектах в Тамбовской области"
Номер опубликования: 6800202506230010
Дата опубликования: 23.06.2025
Страница №14 из 20:
Увеличить