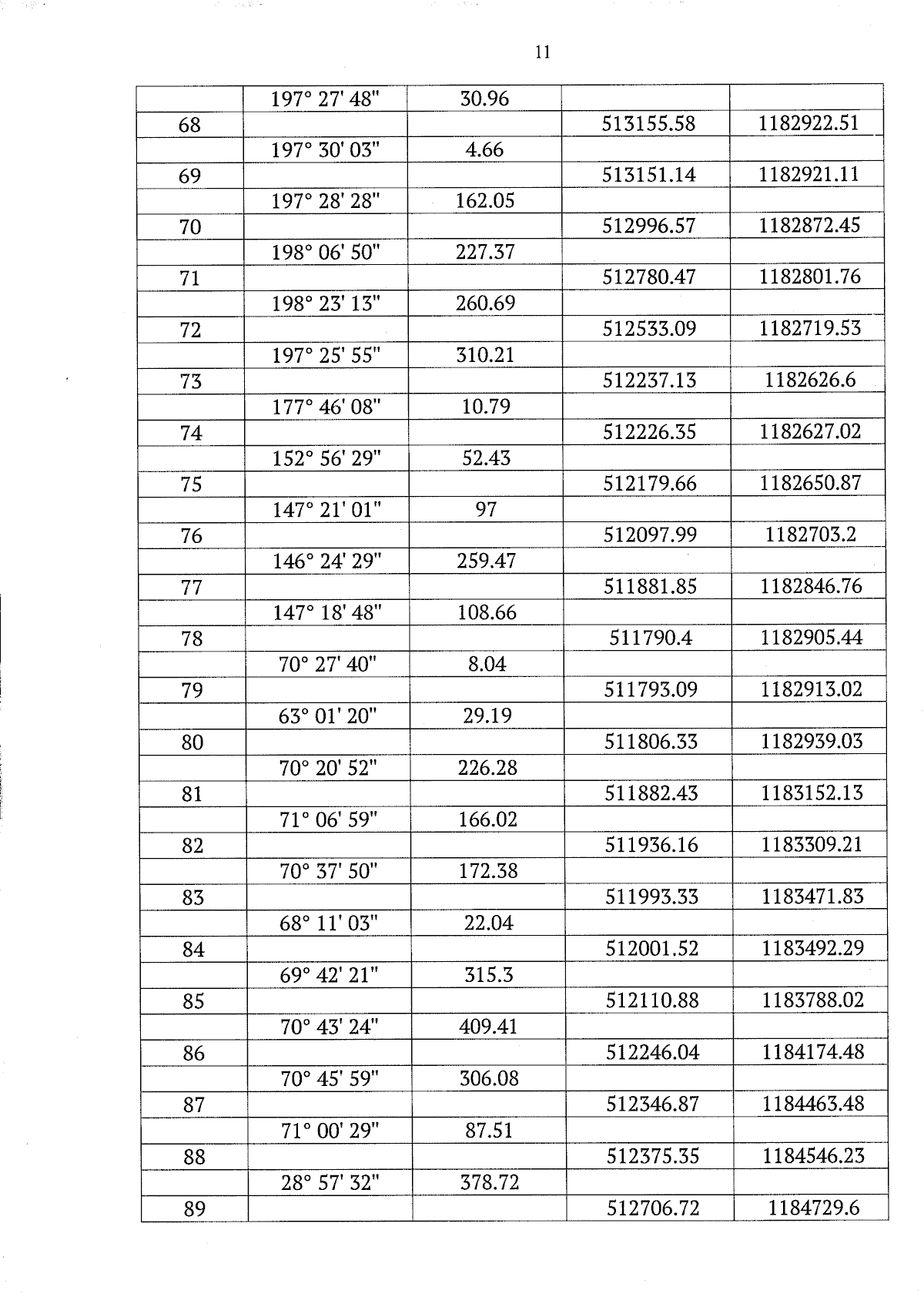
Закон Тамбовской области от 09.06.2025 № 680-З
"О внесении изменения в Закон Тамбовской области "Об установлении границ Староюрьевского муниципального округа Тамбовской области и определении места нахождения его представительного органа и о признании утратившими силу отдельных положений некоторых законодательных актов Тамбовской области"
"О внесении изменения в Закон Тамбовской области "Об установлении границ Староюрьевского муниципального округа Тамбовской области и определении места нахождения его представительного органа и о признании утратившими силу отдельных положений некоторых законодательных актов Тамбовской области"
Номер опубликования: 6800202506110002
Дата опубликования:
11.06.2025
