Официальное опубликование правовых актов
ОФИЦИАЛЬНОЕ ОПУБЛИКОВАНИЕ
Постановление Правительства Тамбовской области от 22.04.2025 № 280
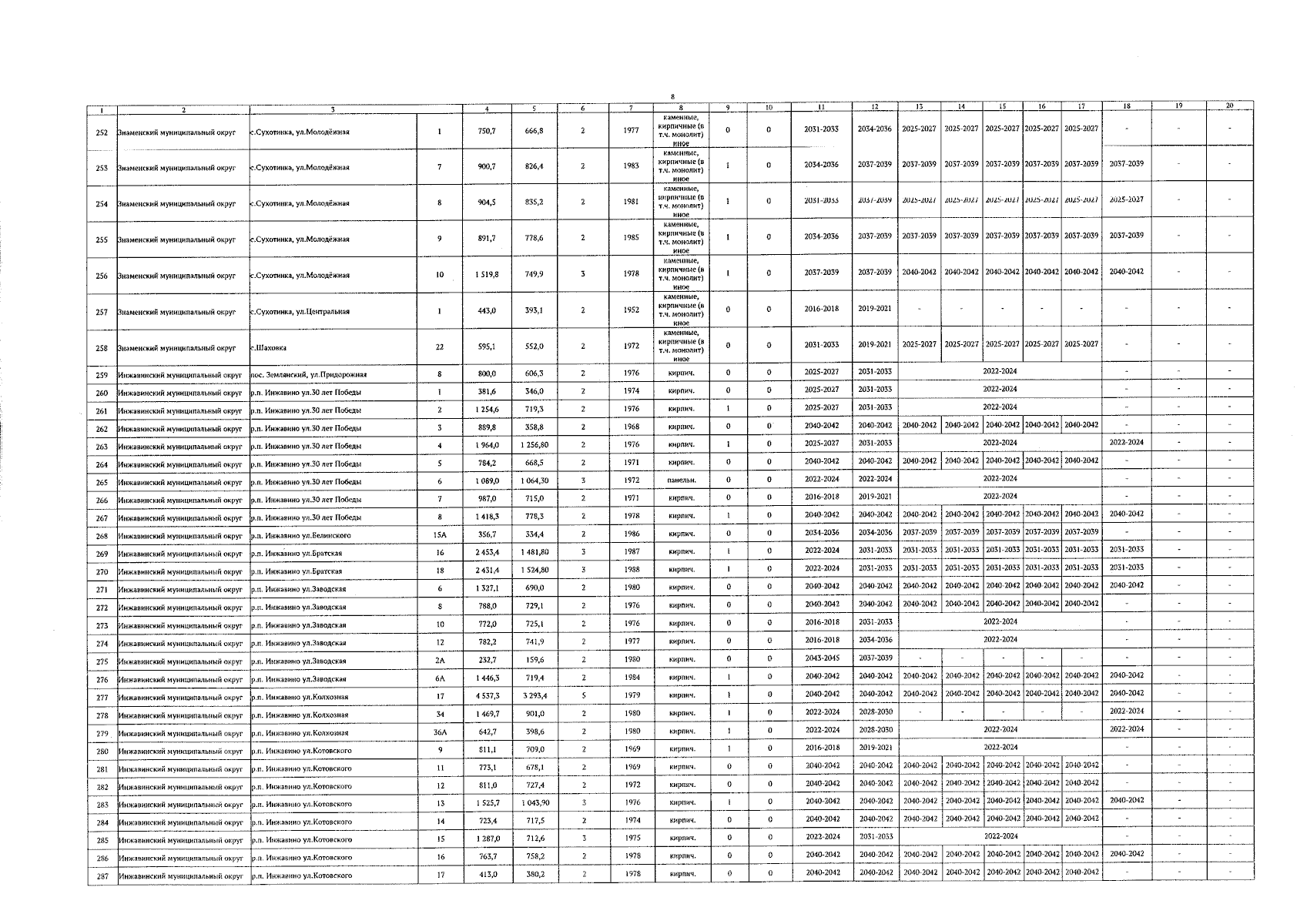
"О внесении изменений в постановление администрации Тамбовской области от 25.11.2013 № 1359 "Об утверждении Программы капитального ремонта общего имущества в многоквартирных домах, расположенных на территории Тамбовской области, на период 2014-2043 годов"
Номер опубликования: 6800202504240005
Дата опубликования: 24.04.2025
Страница №9 из 133:
Увеличить