Постановление Правительства Тамбовской области от 22.04.2025 № 281
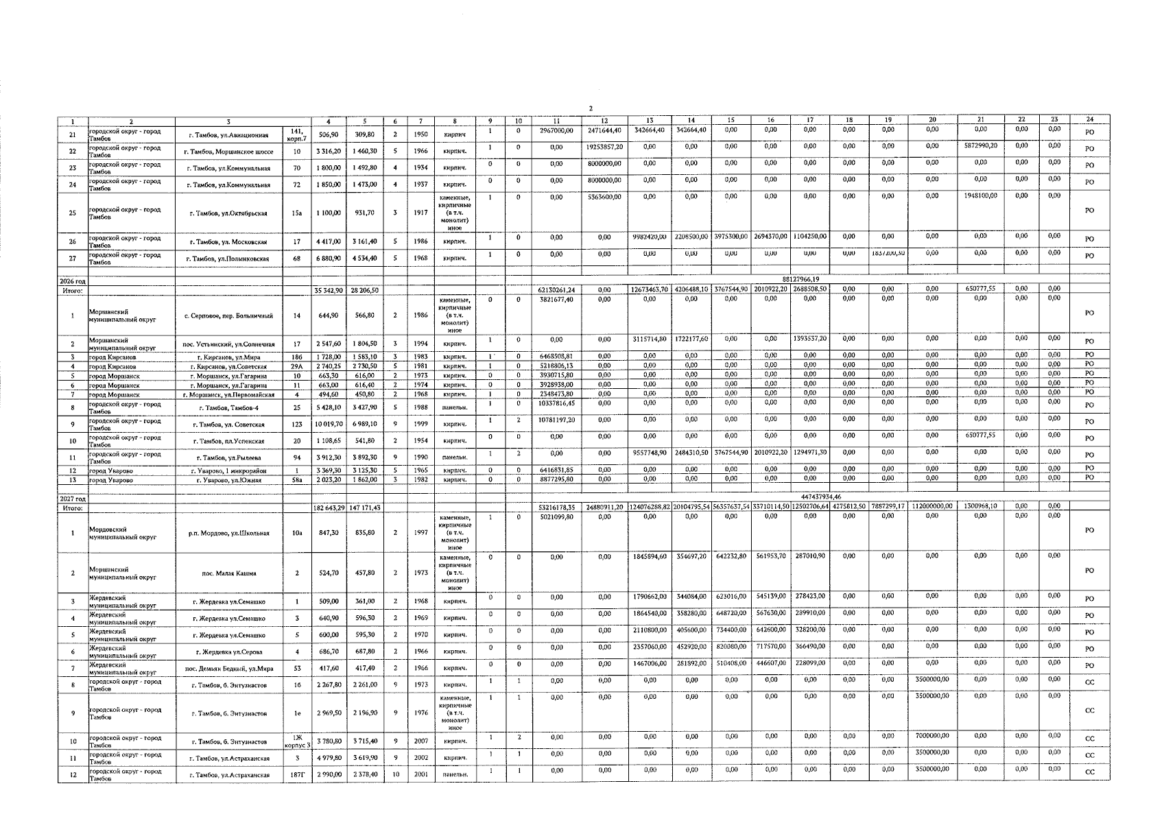
"Об утверждении краткосрочного плана реализации в 2025-2027 годах региональной Программы капитального ремонта общего имущества в многоквартирных домах, расположенных на территории Тамбовской области, на период 2014-2053 годов"
"Об утверждении краткосрочного плана реализации в 2025-2027 годах региональной Программы капитального ремонта общего имущества в многоквартирных домах, расположенных на территории Тамбовской области, на период 2014-2053 годов"
Номер опубликования: 6800202504240004
Дата опубликования:
24.04.2025
