Официальное опубликование правовых актов
ОФИЦИАЛЬНОЕ ОПУБЛИКОВАНИЕ
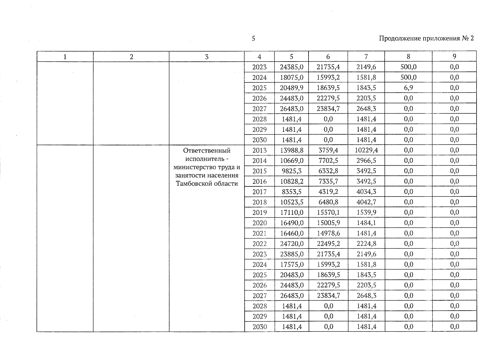
Постановление Правительства Тамбовской области от 21.03.2025 № 209
"О внесении изменений в государственную программу Тамбовской области "Оказание содействия добровольному переселению в Тамбовскую область соотечественников, проживающих за рубежом"
Номер опубликования: 6800202503250007
Дата опубликования: 25.03.2025
Страница №21 из 26:
Увеличить