Официальное опубликование правовых актов
ОФИЦИАЛЬНОЕ ОПУБЛИКОВАНИЕ
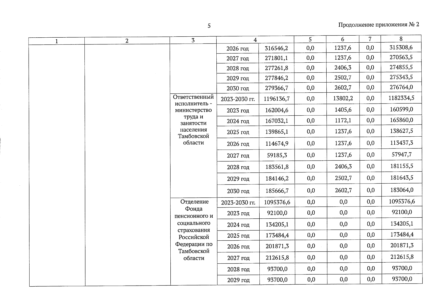
Постановление Правительства Тамбовской области от 18.03.2025 № 194
"О внесении изменений в Государственную программу Тамбовской области "Содействие занятости населения"
Номер опубликования: 6800202503200003
Дата опубликования: 20.03.2025
Страница №33 из 34:
Увеличить