Официальное опубликование правовых актов
ОФИЦИАЛЬНОЕ ОПУБЛИКОВАНИЕ
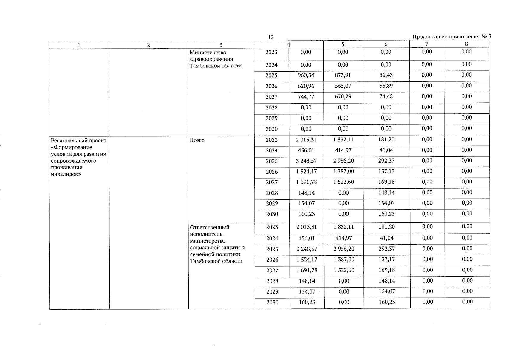
Постановление Правительства Тамбовской области от 06.03.2025 № 155
"О внесении изменений в постановление администрации Тамбовской области от 06.10.2020 № 798 "Об утверждении государственной программы Тамбовской области "Доступная среда"
Номер опубликования: 6800202503070009
Дата опубликования: 07.03.2025
Страница №40 из 42:
Увеличить