Официальное опубликование правовых актов
ОФИЦИАЛЬНОЕ ОПУБЛИКОВАНИЕ
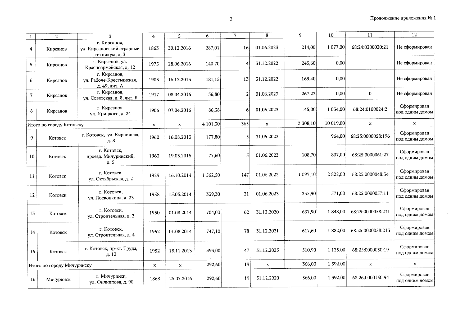
Постановление Правительства Тамбовской области от 19.02.2025 № 120
"О внесении изменений в областную адресную программу по переселению граждан из аварийного жилищного фонда, расположенного на территории Тамбовской области, на 2019-2025 годы"
Номер опубликования: 6800202502190001
Дата опубликования: 19.02.2025
Страница №4 из 13:
Увеличить