Официальное опубликование правовых актов
ОФИЦИАЛЬНОЕ ОПУБЛИКОВАНИЕ
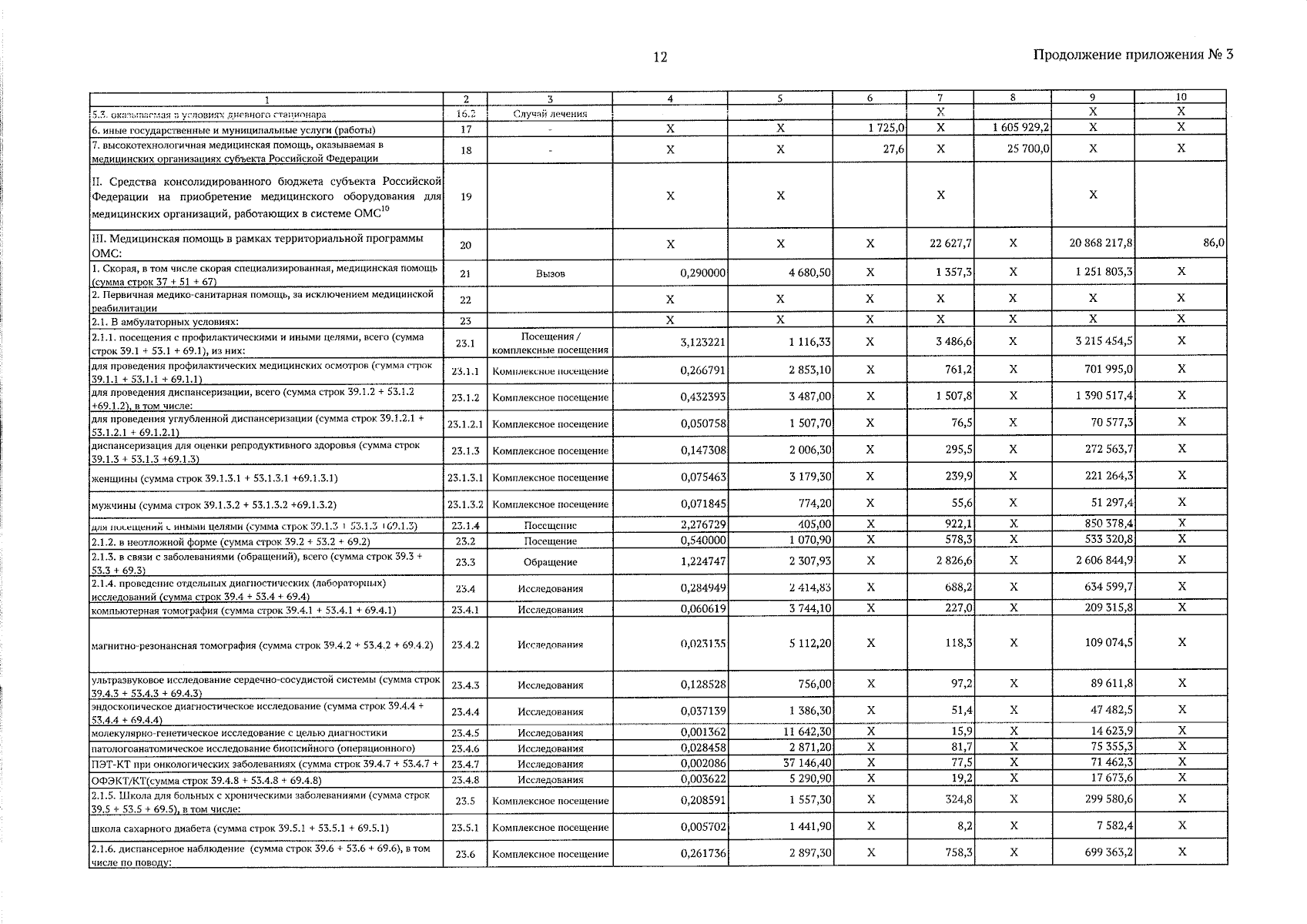
Постановление Правительства Тамбовской области от 31.01.2025 № 62
"О Программе государственных гарантий бесплатного оказания населению Тамбовской области медицинской помощи на 2025 год и на плановый период 2026 и 2027 годов"
Номер опубликования: 6800202502050014
Дата опубликования: 05.02.2025
Страница №106 из 170:
Увеличить