Официальное опубликование правовых актов
ОФИЦИАЛЬНОЕ ОПУБЛИКОВАНИЕ
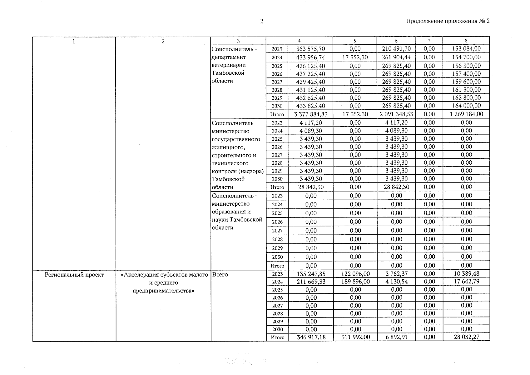
Постановление Правительства Тамбовской области от 31.01.2025 № 54
"О внесении изменений в Государственную программу развития сельского хозяйства и регулирования рынков сельскохозяйственной продукции, сырья и продовольствия Тамбовской области"
Номер опубликования: 6800202502040011
Дата опубликования: 04.02.2025
Страница №24 из 30:
Увеличить