Официальное опубликование правовых актов
ОФИЦИАЛЬНОЕ ОПУБЛИКОВАНИЕ
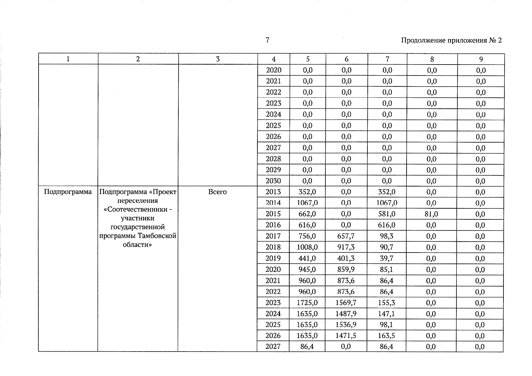
Постановление Правительства Тамбовской области от 30.01.2025 № 47
"О внесении изменений в государственную программу Тамбовской области "Оказание содействия добровольному переселению в Тамбовскую область соотечественников, проживающих за рубежом"
Номер опубликования: 6800202501310011
Дата опубликования: 31.01.2025
Страница №20 из 23:
Увеличить