Официальное опубликование правовых актов
ОФИЦИАЛЬНОЕ ОПУБЛИКОВАНИЕ
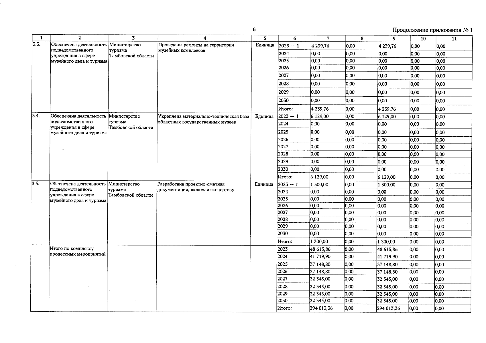
Постановление Правительства Тамбовской области от 18.11.2024 № 663
"О внесении изменений в Государственную программу Тамбовской области "Развитие туризма"
Номер опубликования: 6800202411210004
Дата опубликования: 21.11.2024
Страница №7 из 11:
Увеличить