Официальное опубликование правовых актов
ОФИЦИАЛЬНОЕ ОПУБЛИКОВАНИЕ
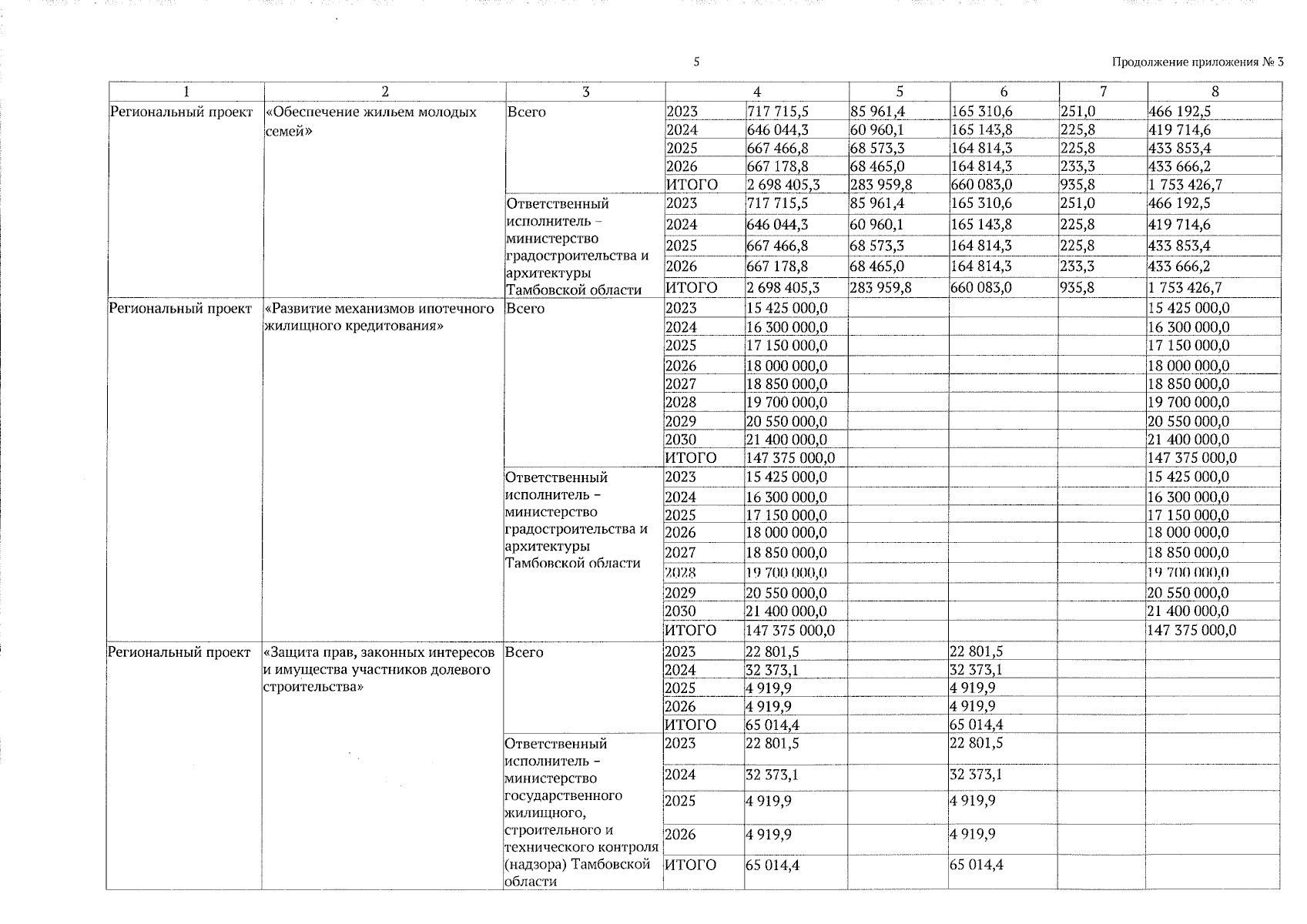
Постановление Правительства Тамбовской области от 01.11.2024 № 652
"О внесении изменений в Государственную программу Тамбовской области "Обеспечение доступным и комфортным жильем и коммунальными услугами населения области"
Номер опубликования: 6800202411050008
Дата опубликования: 05.11.2024
Страница №25 из 30:
Увеличить