Официальное опубликование правовых актов
ОФИЦИАЛЬНОЕ ОПУБЛИКОВАНИЕ
Закон Тамбовской области от 30.10.2024 № 570-З
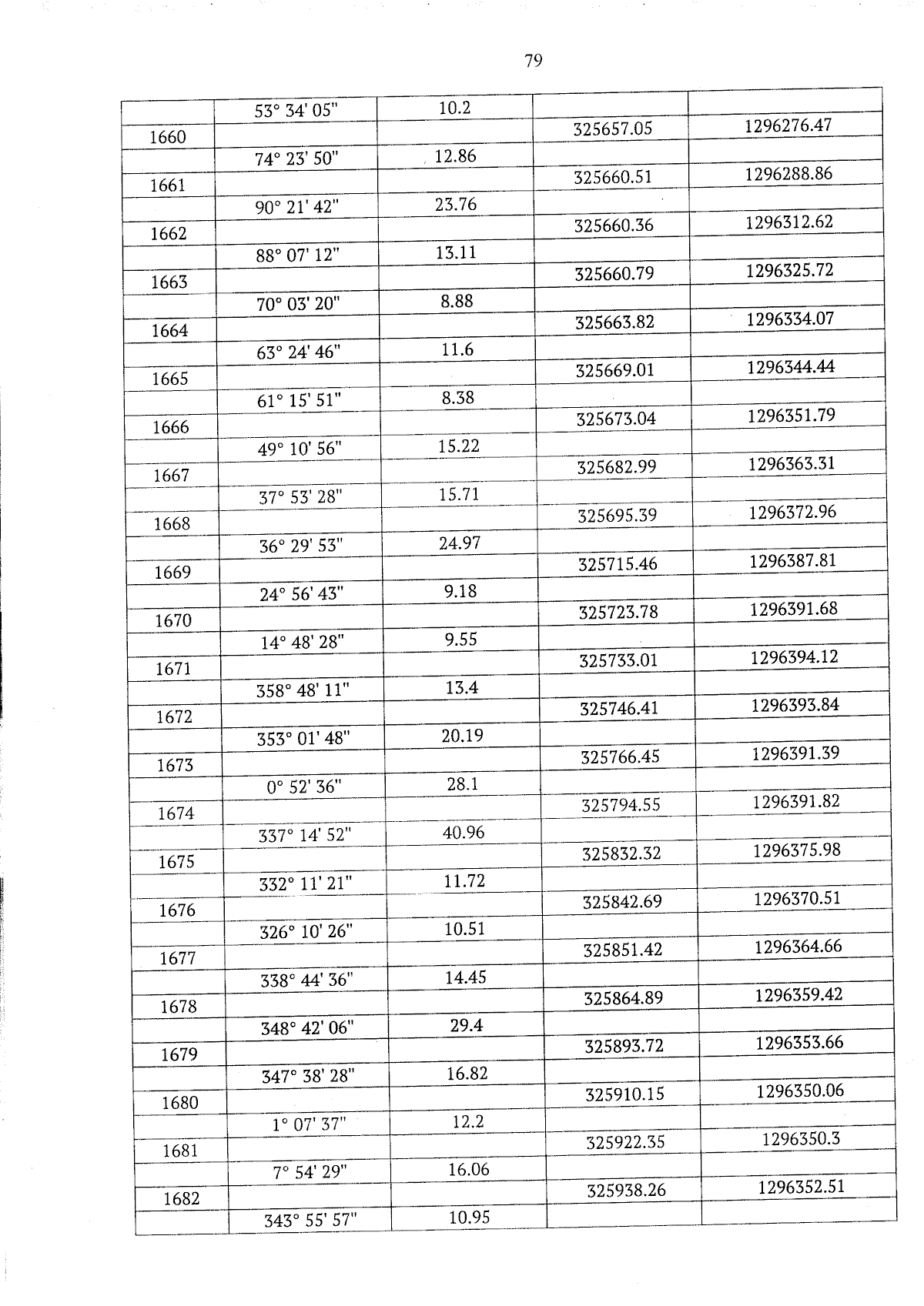
"О внесении изменения в Закон Тамбовской области "Об установлении границ Мучкапского муниципального округа Тамбовской области и определении места нахождения его представительного органа и о признании утратившими силу отдельных положений некоторых законодательных актов Тамбовской области"
Номер опубликования: 6800202411020015
Дата опубликования: 02.11.2024
Страница №79 из 121:
Увеличить