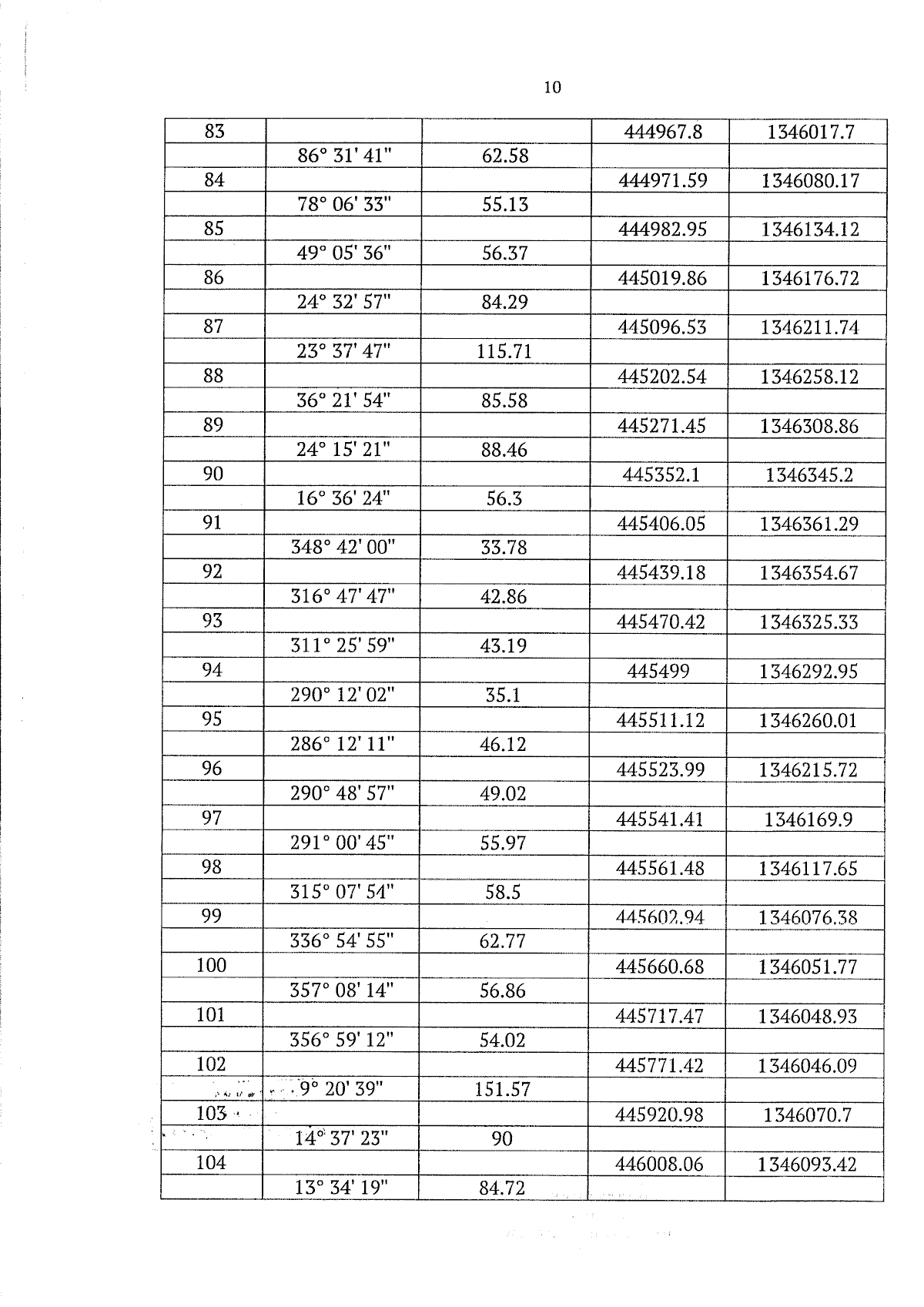
Закон Тамбовской области от 30.10.2024 № 571-З
"О внесении изменения в Закон Тамбовской области "Об установлении границ Умётского муниципального округа Тамбовской области и определении места нахождения его представительного органа и о признании утратившими силу отдельных положений некоторых законодательных актов Тамбовской области"
"О внесении изменения в Закон Тамбовской области "Об установлении границ Умётского муниципального округа Тамбовской области и определении места нахождения его представительного органа и о признании утратившими силу отдельных положений некоторых законодательных актов Тамбовской области"
Номер опубликования: 6800202411020014
Дата опубликования:
02.11.2024
