Официальное опубликование правовых актов
ОФИЦИАЛЬНОЕ ОПУБЛИКОВАНИЕ
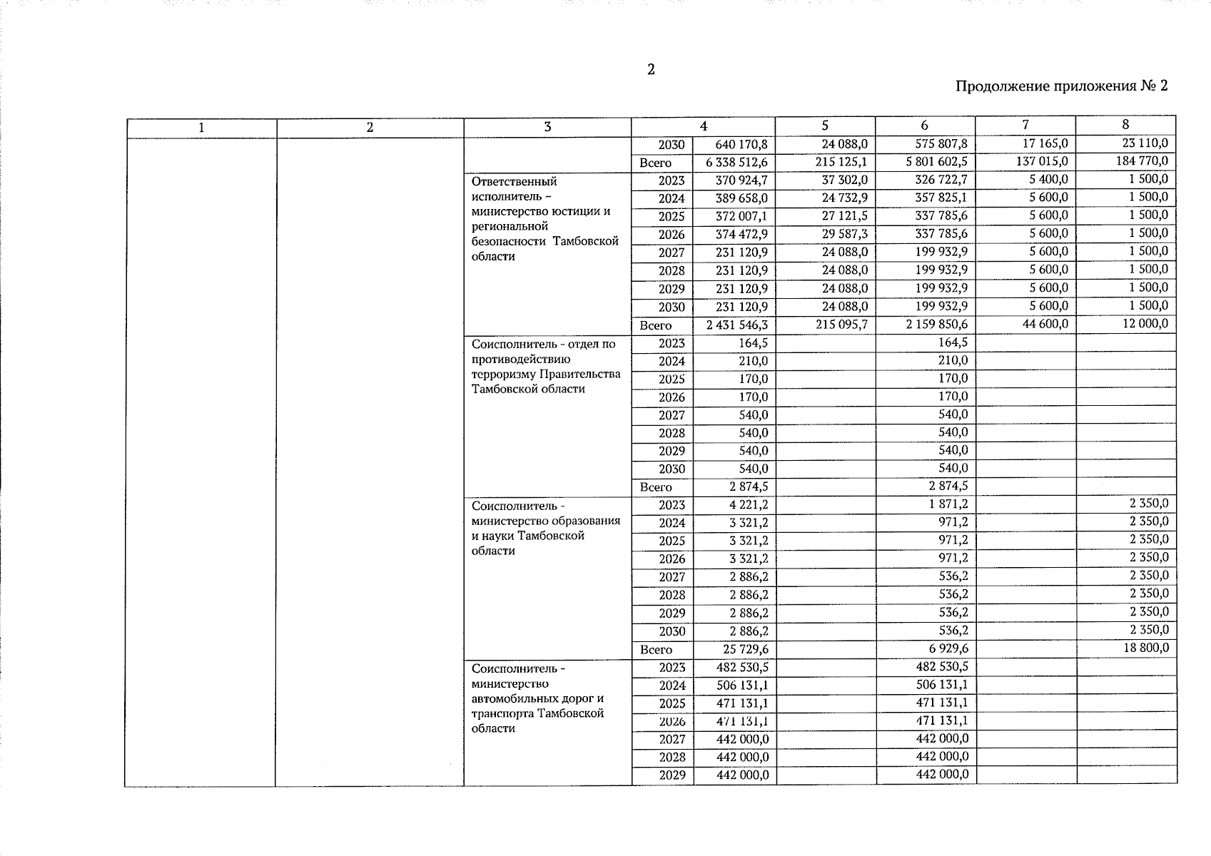
Постановление Правительства Тамбовской области от 29.10.2024 № 632
"О внесении изменений в государственную программу Тамбовской области "Обеспечение безопасности населения Тамбовской области и противодействие преступности"
Номер опубликования: 6800202411020007
Дата опубликования: 02.11.2024
Страница №13 из 18:
Увеличить