Официальное опубликование правовых актов
ОФИЦИАЛЬНОЕ ОПУБЛИКОВАНИЕ
Закон Тамбовской области от 07.10.2024 № 544-З
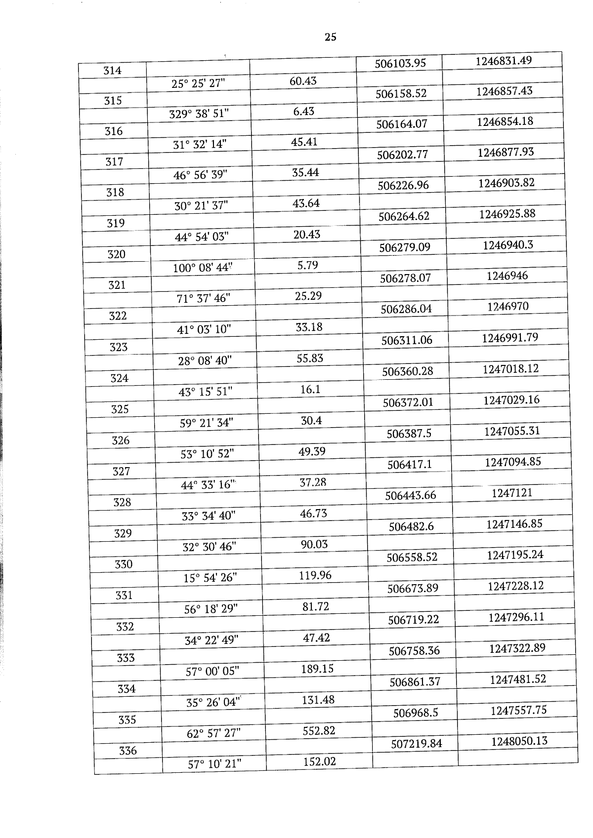
"О внесении изменения в Закон Тамбовской области "Об установлении границ Сосновского муниципального округа Тамбовской области и определении места нахождения его представительного органа и о признании утратившими силу отдельных положений некоторых законодательных актов Тамбовской области"
Номер опубликования: 6800202410090006
Дата опубликования: 09.10.2024
Страница №25 из 128:
Увеличить