Официальное опубликование правовых актов
ОФИЦИАЛЬНОЕ ОПУБЛИКОВАНИЕ
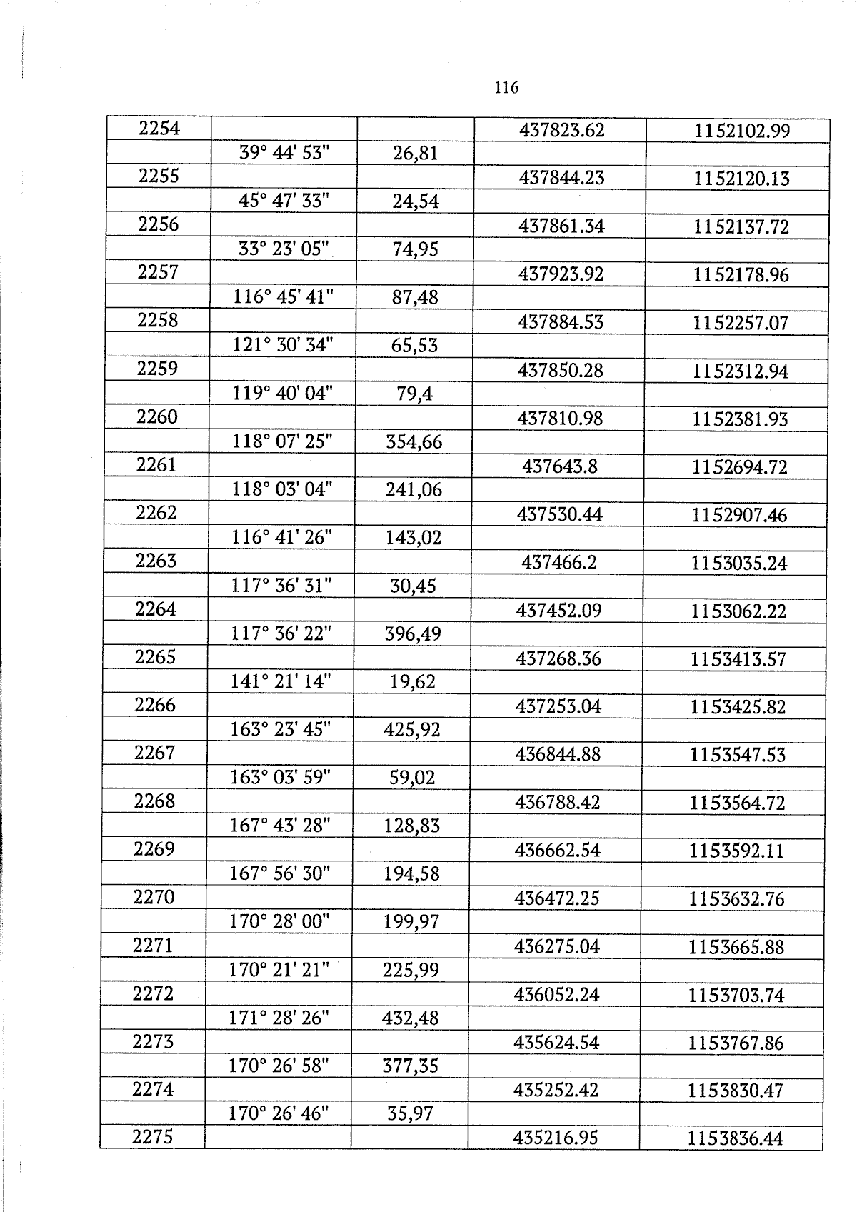
Закон Тамбовской области от 07.10.2024 № 545-З
"О внесении изменения в Закон Тамбовской области "Об установлении границ Петровского муниципального округа Тамбовской области и определении места нахождения его представительного органа"
Номер опубликования: 6800202410090005
Дата опубликования: 09.10.2024
Страница №116 из 119:
Увеличить