Официальное опубликование правовых актов
ОФИЦИАЛЬНОЕ ОПУБЛИКОВАНИЕ
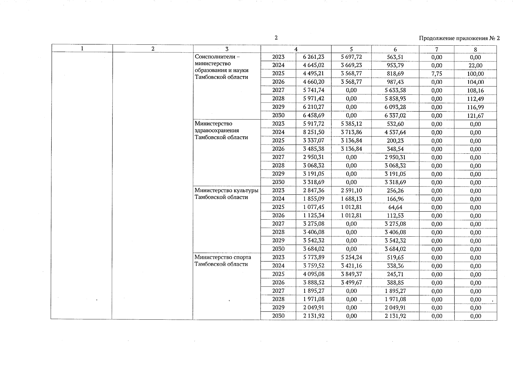
Постановление Правительства Тамбовской области от 26.09.2024 № 580
"О внесении изменений в государственную программу Тамбовской области "Доступная среда"
Номер опубликования: 6800202410010009
Дата опубликования: 01.10.2024
Страница №21 из 33:
Увеличить