Официальное опубликование правовых актов
ОФИЦИАЛЬНОЕ ОПУБЛИКОВАНИЕ
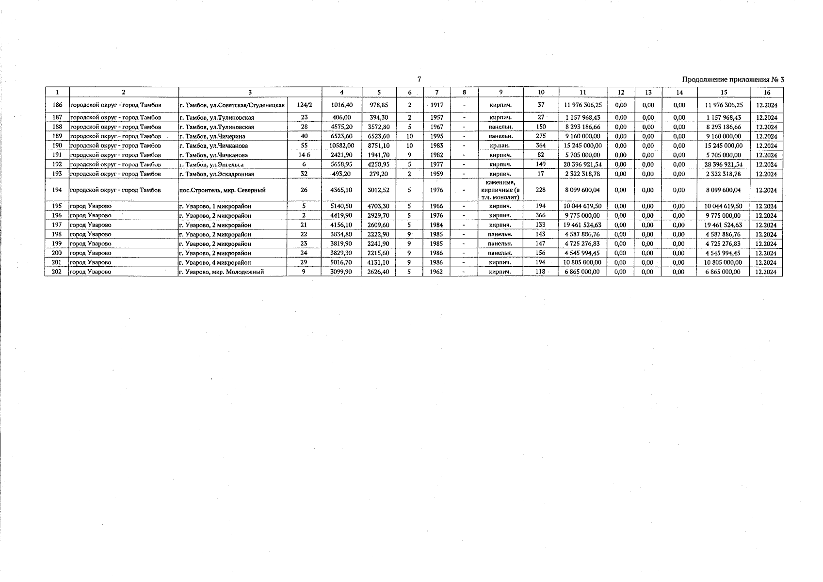
Постановление Правительства Тамбовской области от 28.08.2024 № 527
"О внесении изменений в отдельные постановления администрации Тамбовской области"
Номер опубликования: 6800202408300004
Дата опубликования: 30.08.2024
Страница №11 из 16:
Увеличить