Официальное опубликование правовых актов
ОФИЦИАЛЬНОЕ ОПУБЛИКОВАНИЕ
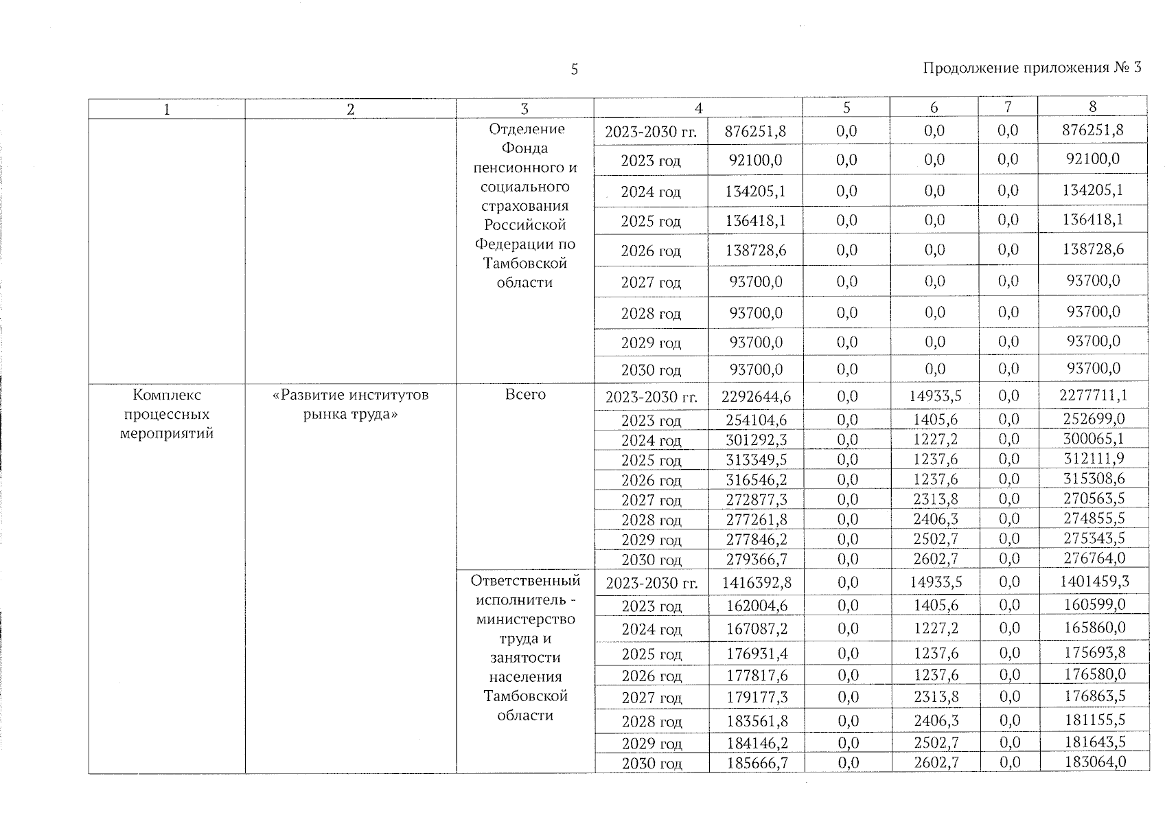
Постановление Правительства Тамбовской области от 19.07.2024 № 465
"О внесении изменений в Государственную программу Тамбовской области "Содействие занятости населения"
Номер опубликования: 6800202407220007
Дата опубликования: 22.07.2024
Страница №33 из 34:
Увеличить