Официальное опубликование правовых актов
ОФИЦИАЛЬНОЕ ОПУБЛИКОВАНИЕ
Постановление Правительства Тамбовской области от 19.07.2024 № 461
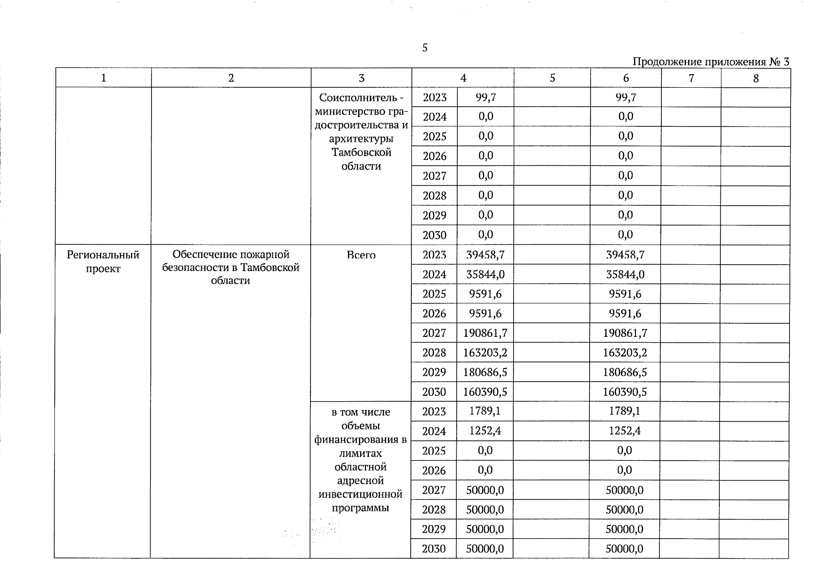
"О внесении изменений в государственную программу Тамбовской области "Защита населения и территорий от чрезвычайных ситуаций, обеспечения пожарной безопасности и безопасности людей на водных объектах в Тамбовской области"
Номер опубликования: 6800202407220004
Дата опубликования: 22.07.2024
Страница №20 из 23:
Увеличить