Официальное опубликование правовых актов
ОФИЦИАЛЬНОЕ ОПУБЛИКОВАНИЕ
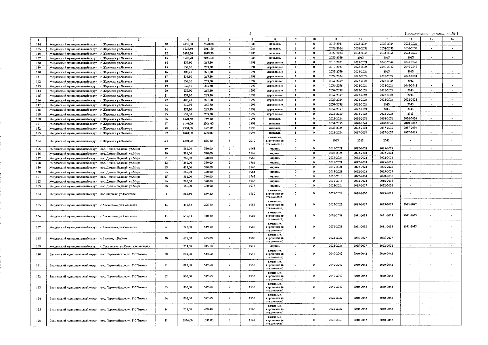
Постановление Правительства Тамбовской области от 25.06.2024 № 420
"О внесении изменений в отдельные постановления администрации Тамбовской области"
Номер опубликования: 6800202407010004
Дата опубликования: 01.07.2024
Страница №7 из 315:
Увеличить