Официальное опубликование правовых актов
ОФИЦИАЛЬНОЕ ОПУБЛИКОВАНИЕ
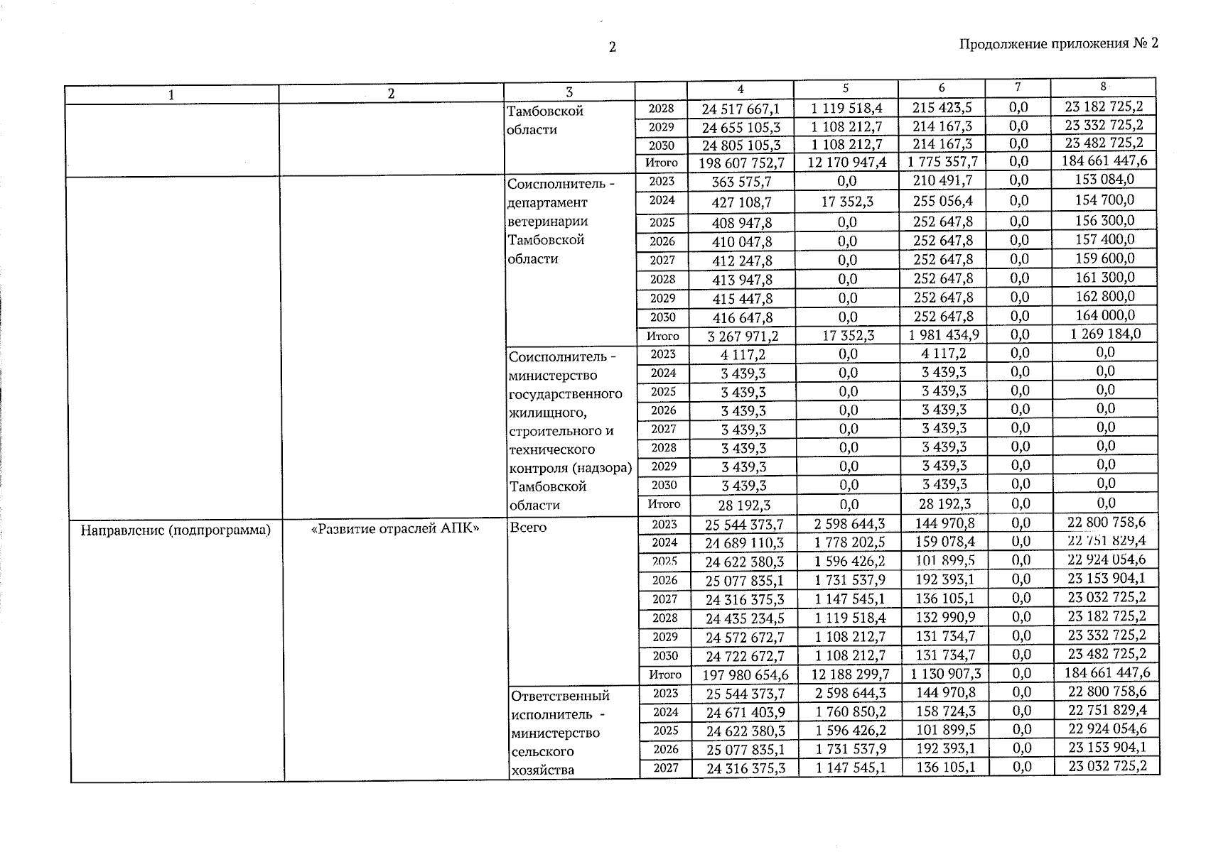
Постановление Правительства Тамбовской области от 31.01.2024 № 49
"О внесении изменений в Государственную программу развития сельского хозяйства и регулирования рынков сельскохозяйственной продукции, сырья и продовольствия Тамбовской области"
Номер опубликования: 6800202402020010
Дата опубликования: 02.02.2024
Страница №22 из 29:
Увеличить