Официальное опубликование правовых актов
ОФИЦИАЛЬНОЕ ОПУБЛИКОВАНИЕ
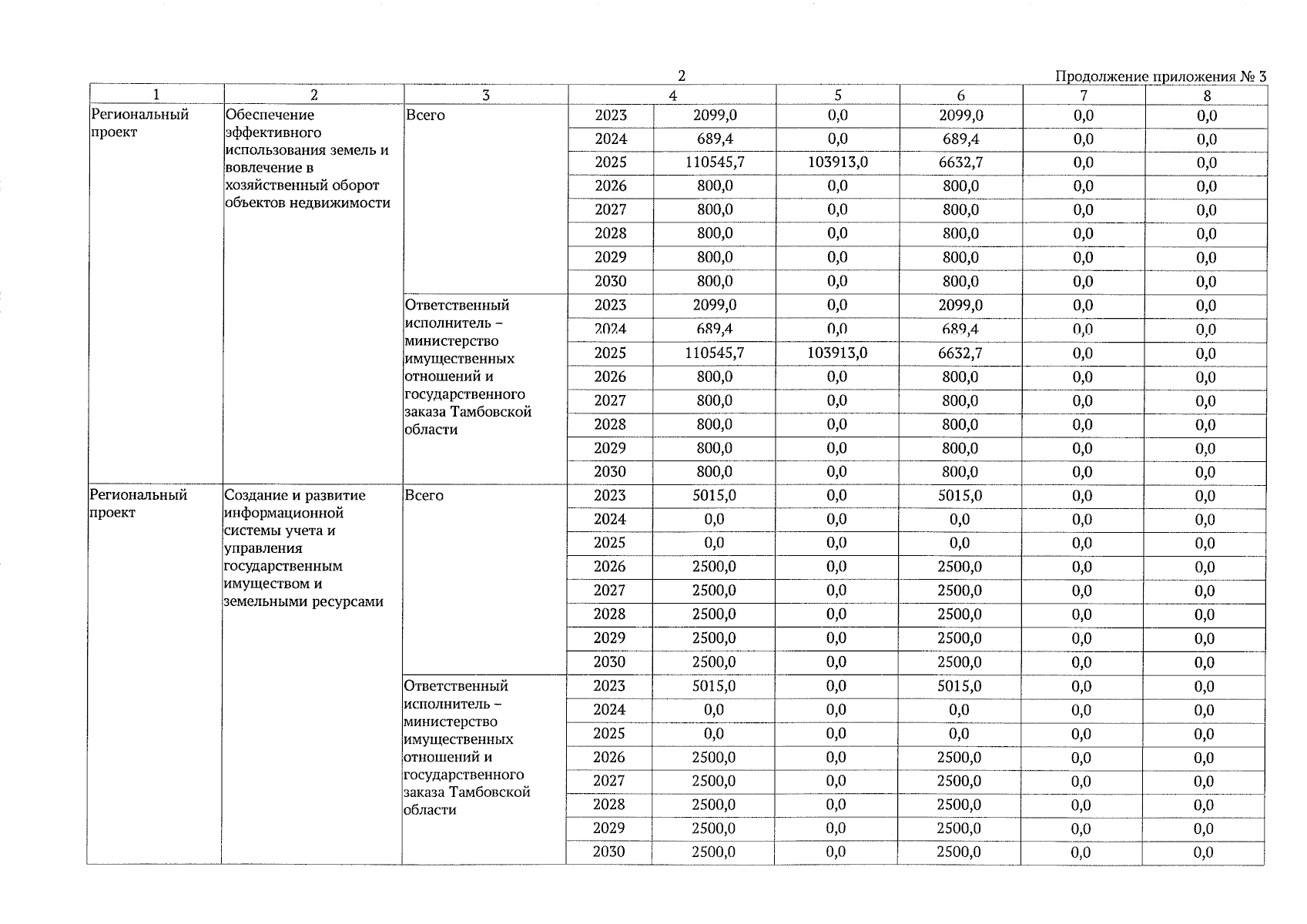
Постановление Правительства Тамбовской области от 29.01.2024 № 37
"О внесении изменений в государственную программу Тамбовской области "Эффективное управление государственной собственностью Тамбовской области"
Номер опубликования: 6800202401310001
Дата опубликования: 31.01.2024
Страница №13 из 14:
Увеличить