Официальное опубликование правовых актов
ОФИЦИАЛЬНОЕ ОПУБЛИКОВАНИЕ
Постановление Правительства Тамбовской области от 29.12.2023 № 1069
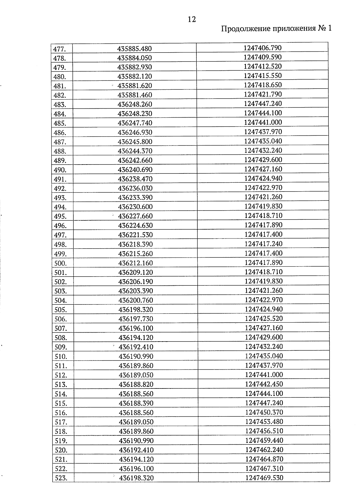
"О комплексном развитии незастроенной территории в городе Тамбове, ограниченной улицей Советская и земельными участками с кадастровыми номерами 68:20:3701001:1, 68:20:0000000:3238, 68:20:3661003:63"
Номер опубликования: 6800202312290070
Дата опубликования: 29.12.2023
Страница №14 из 18:
Увеличить