Официальное опубликование правовых актов
ОФИЦИАЛЬНОЕ ОПУБЛИКОВАНИЕ
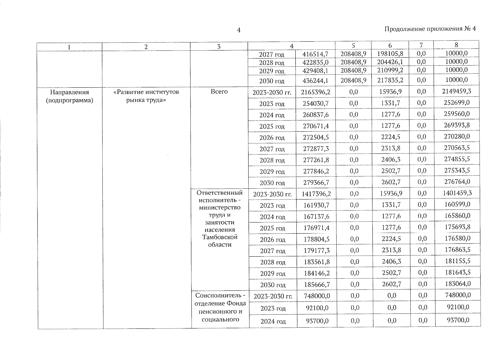
Постановление Правительства Тамбовской области от 28.12.2023 № 1041
"О внесении изменений в постановление администрации Тамбовской области от 18.07.2013 № 766 "Об утверждении Государственной программы Тамбовской области "Содействие занятости населения"
Номер опубликования: 6800202312290054
Дата опубликования: 29.12.2023
Страница №34 из 36:
Увеличить