Официальное опубликование правовых актов
ОФИЦИАЛЬНОЕ ОПУБЛИКОВАНИЕ
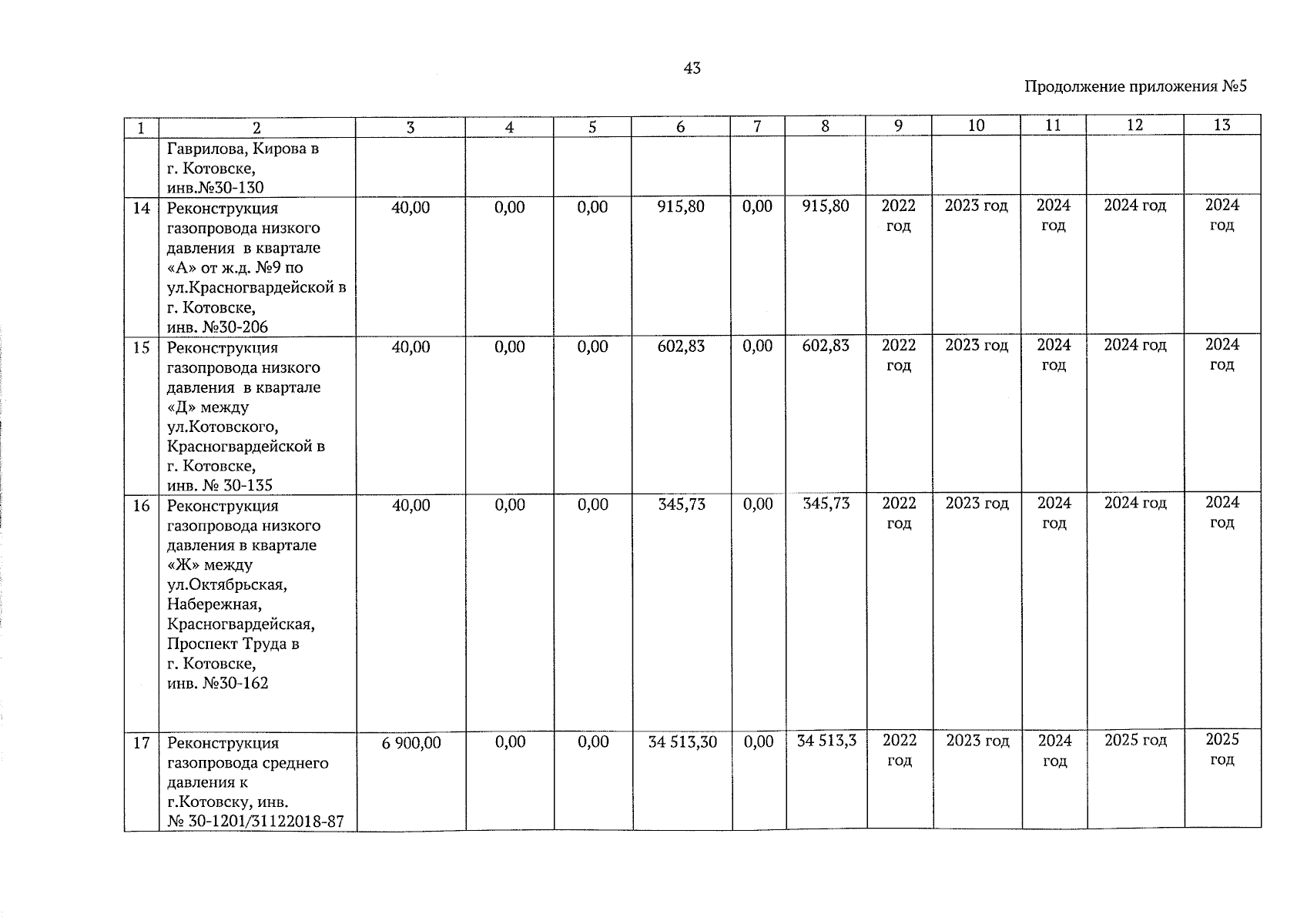
Постановление Правительства Тамбовской области от 27.12.2023 № 1026
"О внесении изменений в постановление администрации Тамбовской области от 28.12.2021 № 969 "Об утверждении Программы газификации жилищно-коммунального хозяйства, промышленных и иных организаций Тамбовской области на 2022-2031 годы"
Номер опубликования: 6800202312290023
Дата опубликования: 29.12.2023
Страница №776 из 792:
Увеличить