Официальное опубликование правовых актов
ОФИЦИАЛЬНОЕ ОПУБЛИКОВАНИЕ
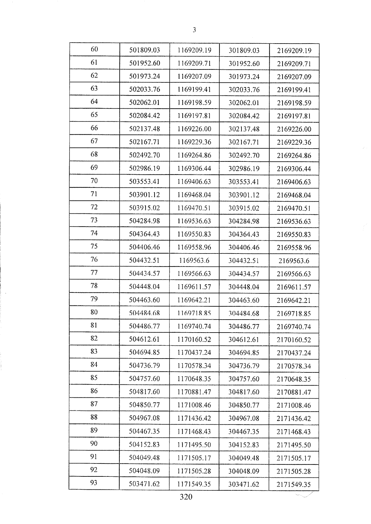
Закон Тамбовской области от 27.09.2023 № 395-З
"Об утверждении заключения соглашения об установлении описания границы между субъектами Российской Федерации - Тамбовской и Рязанской областями"
Номер опубликования: 6800202310030002
Дата опубликования: 03.10.2023
Страница №6 из 82:
Увеличить