Официальное опубликование правовых актов
ОФИЦИАЛЬНОЕ ОПУБЛИКОВАНИЕ
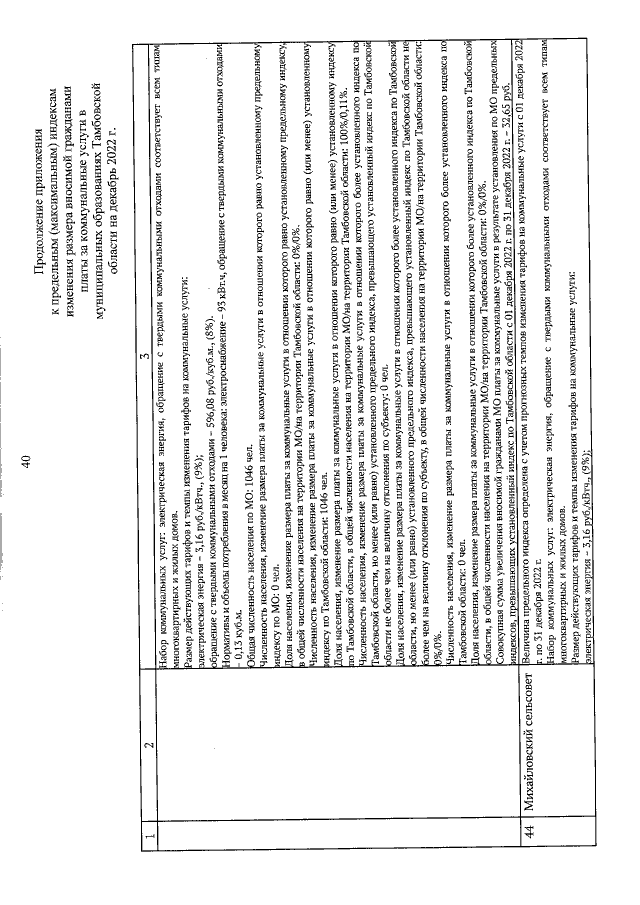
Постановление Главы Тамбовской области от 28.11.2022 № 45
"Об утверждении предельных (максимальных) индексов изменения размера вносимой гражданами платы за коммунальные услуги в муниципальных образованиях Тамбовской области с 1 декабря 2022 г. по 31 декабря 2023 г."
Номер опубликования: 6800202212010006
Дата опубликования: 01.12.2022
Страница №53 из 257:
Увеличить