Официальное опубликование правовых актов
ОФИЦИАЛЬНОЕ ОПУБЛИКОВАНИЕ
Постановление администрации Тамбовской области от 16.08.2022 № 655
"О внесении изменений в постановление администрации области от 28.09.2017 № 943 "Об утверждении правил землепользования и застройки муниципального образования городского округа – город Тамбов"
Номер опубликования: 6800202208220001
Дата опубликования: 22.08.2022
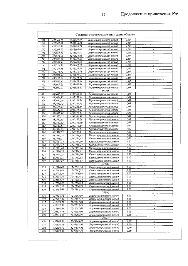
Страница №455 из 467:
Увеличить