Официальное опубликование правовых актов
ОФИЦИАЛЬНОЕ ОПУБЛИКОВАНИЕ
Постановление администрации Тамбовской области от 21.07.2022 № 569
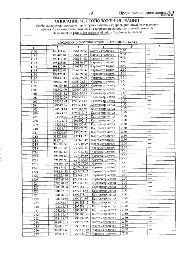
"О внесении изменений в постановление администрации области от 28.12.2017 № 1336 "Об образовании особо охраняемых природных территорий регионального значения - памятники природы "Балка Земляная", "Балка Козленков овраг", "Балка Коренная", "Долина реки Харина"
Номер опубликования: 6800202207220004
Дата опубликования: 22.07.2022
Страница №56 из 90:
Увеличить