Официальное опубликование правовых актов
ОФИЦИАЛЬНОЕ ОПУБЛИКОВАНИЕ
Закон Тамбовской области от 01.11.2021 № 8-З
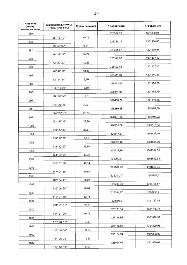
"О внесении изменений в Закон Тамбовской области "Об установлении границ муниципальных образований Уваровского района Тамбовской области и определении места нахождения их представительных органов и о признании утратившими силу отдельных положений некоторых законодательных актов Тамбовской области"
Номер опубликования: 6800202111030001
Дата опубликования: 03.11.2021
Страница №49 из 278:
Увеличить