Официальное опубликование правовых актов
ОФИЦИАЛЬНОЕ ОПУБЛИКОВАНИЕ
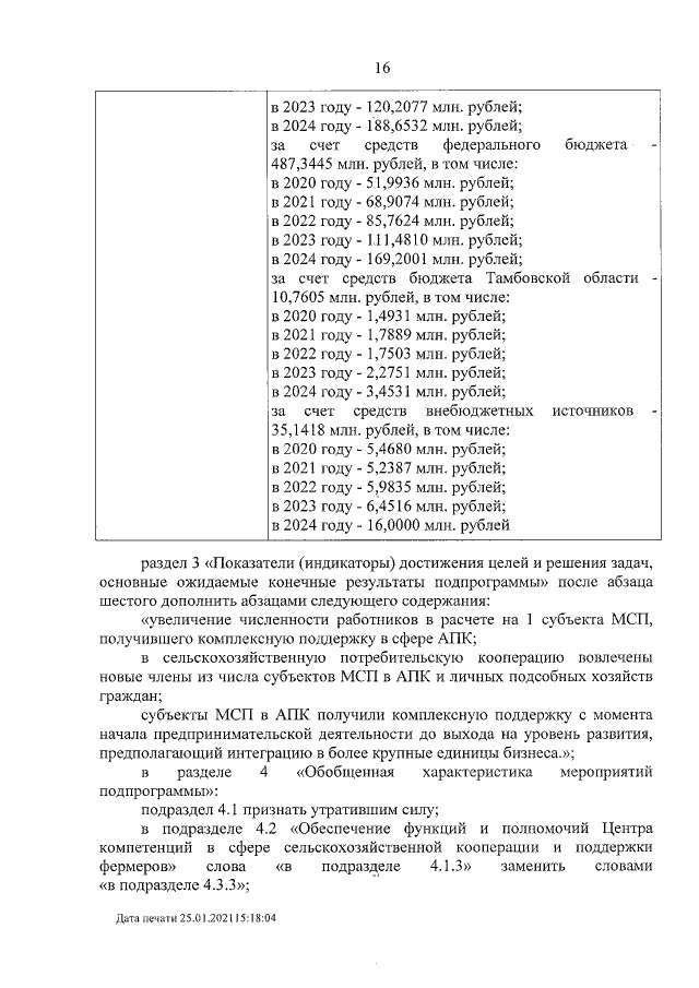
Постановление администрации Тамбовской области от 04.02.2021 № 80
"О внесении изменений в Государственную программу развития сельского хозяйства и регулирования рынков сельскохозяйственной продукции, сырья и продовольствия Тамбовской области"
Номер опубликования: 6800202102050004
Дата опубликования: 05.02.2021
Страница №16 из 110:
Увеличить