Официальное опубликование правовых актов
ОФИЦИАЛЬНОЕ ОПУБЛИКОВАНИЕ
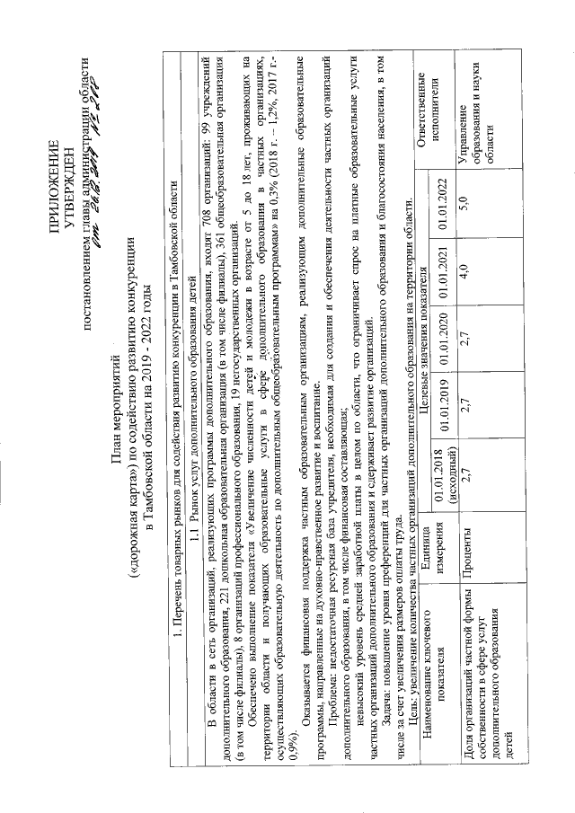
Постановление Главы администрации Тамбовской области от 26.12.2019 № 208
"Об утверждении Плана мероприятий ("дорожной карты") по содействию развитию конкуренции в Тамбовской области на 2019 - 2022 годы"
Номер опубликования: 6800201912300028
Дата опубликования: 30.12.2019
Страница №3 из 108:
Увеличить